【药物名称】Imoproxifan
化学结构式(Chemical Structure):
参考文献No.31064
标题:Imidazole derivs. as histamine receptor H3 (ant)agonists
作者:Schwartz, J.-C.; Arrang, J.-M.; Garbarg, M.; Quemener, A.; Lecomte, J.-M.; Ligneau, X.; Schunack, W.G.; Stark, H.; Purand, K.; H黮s, A.; et al. (INSERM (Institut National de la Sante et de la Recherche Medicale; Societe Civile Bioprojet)
来源:EP 0760811; FR 2732017; JP 1998501001; WO 9629315
合成路线图解说明:

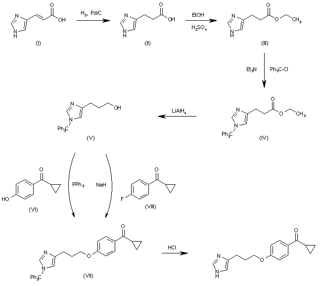
This compound can be obtained by two similar ways: 1) The hydrogenation of the double bond of 3-(4-imidazolyl)propenoic acid (I) with H2 over Pd/C in water gives the propionic acid (II), which is esterified with ethanol and sulfuric acid to the ethyl ester (III). The protection of (III) with triphenylmethyl chloride by means of triethylamine in DMF affords the trityl derivative (IV), which is reduced with LiAlH4 in THF yielding 3-(4-imidazolyl)propanol (V). The condensation of (V) with the phenol (VI) by means of triphenylphosphine and diethyl azodicarboxylate in THF provides the ether (VII), which deprotected with HCl in hot THF. 2) Alternatively, propanol (V) can be condensed with cyclopropyl 4-fluorophenyl ketone (VIII) by means of NaH in refluxing toluene to give the previously reported ether (VII).

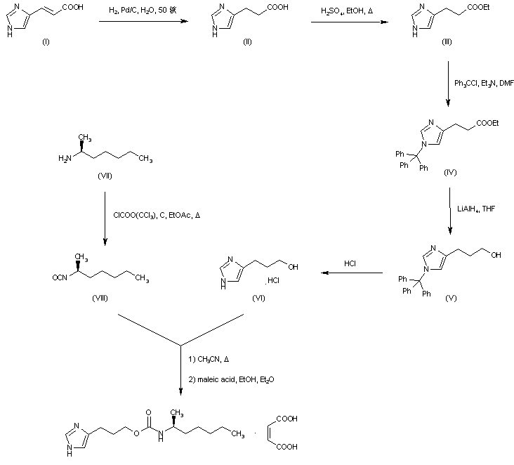
合成路线图解说明:

Hydrogenation of urocanic acid (I) provided 3-(imidazol-4-yl)propionic acid (II), which was esterified with EtOH and H2SO4 to give ethyl ester (III). Tritylation of (III) with triphenylmethyl chloride afforded (IV), and subsequent reduction using LiAlH4 yielded alcohol (V). Acid cleavage of the trityl protecting group of (V) furnished imidazolylpropanol (VI). Isocyanate (VIII) was prepared from (S)-2-heptylamine (VII) by treatment with diphosgene and a catalytic amount of activated charcoal. Then, condensation between isocyanate (VIII) and alcohol (V) in refluxing acetonitrile generated the corresponding carbamate. The title compound was isolated after conversion to the corresponding hydrogen maleate salt Hydrogenation of urocanic acid (I) provided 3-(imidazol-4-yl)propionic acid (II), which was esterified with EtOH and H2SO4 to give ethyl ester (III). Tritylation of (III) with triphenylmethyl chloride afforded (IV), and subsequent reduction using LiAlH4 yielded alcohol (V). Acid cleavage of the trityl protecting group of (V) furnished imidazolylpropanol (VI). Isocyanate (VIII) was prepared from (S)-2-heptylamine (VII) by treatment with diphosgene and a catalytic amount of activated charcoal. Then, condensation between isocyanate (VIII) and alcohol (V) in refluxing acetonitrile generated the corresponding carbamate. The title compound was isolated after conversion to the corresponding hydrogen maleate salt.

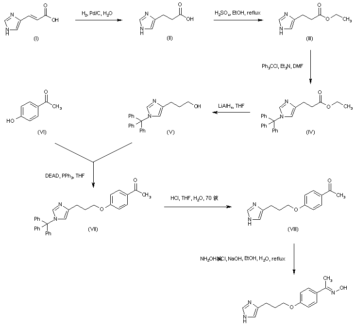
合成路线图解说明:

Urocanic acid (I) was hydrogenated to imidazolepropionic acid (II) and then esterified with EtOH and H2SO4. The resulting imidazole ester (III) was protected as the N-trityl derivative (IV) and then reduced to alcohol (V) by means of LiAlH4 (1). Coupling of (V) with 4'-hydroxyacetophenone (VI) under Mitsunobu conditions furnished ether (VII). The trityl protecting group of (VII) was then cleaved by acidic treatment to give (VIII). Finally, condensation of (VIII) with hydroxylamine provided the target E-oxime.

参考文献No.591194
标题:3-Deoxyclocinnamox: The first high-affinity, nonpeptide mu-opioid antagonist lacking a phenolic hydroxyl group
作者:Derrick, I.; Neilan, C.L.; Andes, J.; Husbands, S.M.; Woods, J.H.; Traynor, J.R.; Lewis, J.W.
来源:J Med Chem 2000,43(17),3348
合成路线图解说明:

Urocanic acid (I) was hydrogenated to imidazolepropionic acid (II) and then esterified with EtOH and H2SO4. The resulting imidazole ester (III) was protected as the N-trityl derivative (IV) and then reduced to alcohol (V) by means of LiAlH4 (1). Coupling of (V) with 4'-hydroxyacetophenone (VI) under Mitsunobu conditions furnished ether (VII). The trityl protecting group of (VII) was then cleaved by acidic treatment to give (VIII). Finally, condensation of (VIII) with hydroxylamine provided the target E-oxime.

Drug Information Express,Drug R&D,Chemical Database,Patent Search.
Copyright © 2006-2026 Drug Future. All rights reserved.Contact Us