【药物名称】CP-654743
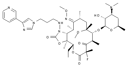
化学结构式(Chemical Structure):
参考文献No.44509
标题:Ketolide antibiotics
作者:Kaneko, T.; McMillen, W.T. (Pfizer Inc.)
来源:WO 0044761
合成路线图解说明:

Treatment of macrolide (I) with O-methylhydroxylamine hydrochloride produced the 9-oxime (II) with concomitant deacetylation. Reductive condensation of (II) with pyridylimidazolylpropionaldehyde (III) in the presence of NaBH3CN gave adduct (IV), which was reprotected as the acetate ester (V). Fluorination of (V) at position 2 to afford fluorolactone (VI) was achieved by treatment of the corresponding potassium enolate with 1-(chloromethyl)-4-fluoro-1,4-diazoniabicyclo[2.2.2]octane bis(tetrafluoroborate) (Selectfluor(TM)). The title compound was finally obtained by deacetylation of (VI) in hot MeOH.

参考文献No.593482
标题:Synthesis and in vitro activity of C2-substituted C9-oxime ketolides
作者:Kaneko, T.; et al.
来源:40th Intersci Conf Antimicrob Agents Chemother (Sept 17 2000, Toronto) 2000,Abst F-1815
合成路线图解说明:

Treatment of macrolide (I) with O-methylhydroxylamine hydrochloride produced the 9-oxime (II) with concomitant deacetylation. Reductive condensation of (II) with pyridylimidazolylpropionaldehyde (III) in the presence of NaBH3CN gave adduct (IV), which was reprotected as the acetate ester (V). Fluorination of (V) at position 2 to afford fluorolactone (VI) was achieved by treatment of the corresponding potassium enolate with 1-(chloromethyl)-4-fluoro-1,4-diazoniabicyclo[2.2.2]octane bis(tetrafluoroborate) (Selectfluor(TM)). The title compound was finally obtained by deacetylation of (VI) in hot MeOH.

参考文献No.633694
标题:Novel fluoroketolides: Synthesis and antibacterial activity
作者:Bonnefoy, A.; Denis, A.
来源:Drugs Fut 2001,26(10),975
合成路线图解说明:

The title compound was prepared by stereoselective fluorination of the known ketolide (I) at position 2 by means of N-fluorosulfonimide and NaH.

合成路线图解说明:

Direct fluorination of telithromycin (I) at position 2 by means of N-fluorosulfonimide and NaH afforded the title compound in low yield, along with a geater amount of the N-demethylated analogue. In a modified procedure, protection of the 2' hydroxyl group of (I) as the trimethylsilyl ether (II), followed by fluorination with N-fluorosulfonimide in the presence of potassium tert-butoxide provided fluoroketolide (III). Subsequent desilylation of (III) by means of tetrabutylammonium fluoride then furnished the title compound in high yield.

合成路线图解说明:

In an alternative synthesis, compound (IV) was protected as the silyl ether (V) and then fluorinated by means of N-fluorosulfonimide and potassium tert-butoxide. The resulting fluorinated derivative (VI) was desilylated by means of tetrabutylammonium fluoride to yield (VII), which was further protected as the 2'-acetate ester (VIII). Treatment of (VIII) with 1,1'-carbonyl diimidazole produced the acyl imidazole (IX). Subsequent condensation of (IX) with amine (X) gave rise to the corresponding 11,12-cyclic carbamate, which was finally deacetylated upon treatment with MeOH.

合成路线图解说明:

Treatment of macrolide (I) with O-methylhydroxylamine hydrochloride produced the 9-oxime (II) with concomitant deacetylation. Reductive condensation of (II) with pyridylimidazolylpropionaldehyde (III) in the presence of NaBH3CN gave adduct (IV), which was reprotected as the acetate ester (V). Fluorination of (V) at position 2 to afford fluorolactone (VI) was achieved by treatment of the corresponding potassium enolate with 1-(chloromethyl)-4-fluoro-1,4-diazoniabicyclo[2.2.2]octane bis(tetrafluoroborate) (Selectfluor(TM)). The title compound was finally obtained by deacetylation of (VI) in hot MeOH.

Drug Information Express,Drug R&D,Chemical Database,Patent Search.
Copyright © 2006-2026 Drug Future. All rights reserved.Contact Us