【药物名称】
化学结构式(Chemical Structure):
参考文献No.590857
标题:1-[2-(Heteroaryloxy)heteroaryl]carbamoy]indolines: Novel and selective 5-HT2C receptor inverse agonists with potential as antidepressant/anxiolytic agents
作者:Bromidge, S.M.; Dabbs, S.; Davies, S.; Duckworth, D.M.; Forbes, I.T.; Jones, G.E.; Jones, J.; King, F.D.; Saunders, D.V.; Blackburn, T.P.; Holland, V.; Kennett, G.A.; Lightowler, S.; Middlemiss, D.N.; Riley, G.J.; Trail, B.; Wood, M.D.
来源:Bioorg Med Chem Lett 2000,10(16),1863
合成路线图解说明:

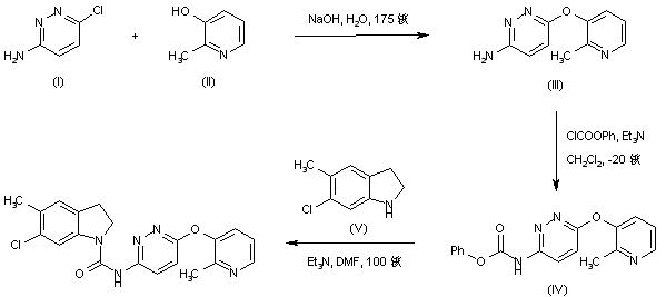
Condensation between 3-amino-6-chloropyridazine (I) and 3-hydroxy-2-methylpyridine (II) in aqueous NaOH at 175 C under pressure afforded the bisaryl ether (III). The phenyl carbamate (IV) was then prepared by treatment of aminopyridazine (III) with phenyl chloroformate. Finally, coupling of carbamate (IV) with 6-chloro-5-methylindoline (V) yielded the title urea derivative.

Drug Information Express,Drug R&D,Chemical Database,Patent Search.
Copyright © 2006-2026 Drug Future. All rights reserved.Contact Us