【药物名称】
化学结构式(Chemical Structure):
参考文献No.590744
标题:Syntheses and biological evaluation of 3-substituted amino-1-aryl-6-hydroxy-hex-2-ene-1-ones as antioxidant and hypolipidemic agents
作者:Batra, S.; Srivastava, S.K.; Singh, K.; Chander, R.; Khanna, A.K.; Bhaduri, A.P.
来源:Bioorg Med Chem 2000,8(8),2195
合成路线图解说明:

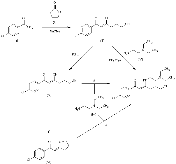
Acetophenone (I) is condensed with gamma-butyrolactone (II) in the presence of NaOMe to afford compound (III), which is finally treated with BF3稥t2O and amine (IV) in dichloromethane/ether. Alternatively, the target compound can be synthesized by regioselective bromination of (III) with PBr3 in dichloromethane to yield bromo derivative (V) followed by heating with primary amine (IV) in MeOH. (Under forceful conditions (V) can be converted into intermediate (VI), which by heating in MeOH in the presence of primary amine (IV) can also lead to the desired product).

Drug Information Express,Drug R&D,Chemical Database,Patent Search.
Copyright © 2006-2026 Drug Future. All rights reserved.Contact Us