【药物名称】
化学结构式(Chemical Structure):
参考文献No.45118
标题:Aryl sulfonic acids and derivs. as FSH antagonists
作者:Rogers, J.F.; Jetter, J.W.; Wrobel, J.E.; Green, D.M.; Kao, W. (American Home Products Corp.)
来源:WO 0058277
合成路线图解说明:

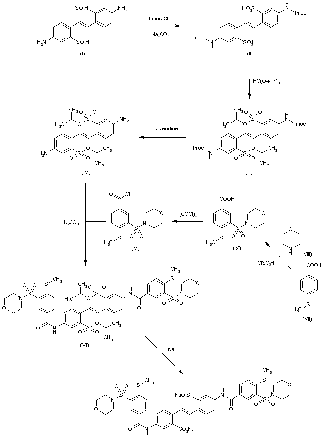
N-protection of 4,4'-diamnostilbene-2,2'-disulfonic acid (I) with 9-fluorenylmethyl chloroformate (Fmoc-Cl) by means of Na2CO3 in dioxane yields Fmoc-protected derivative (II), which reacts with triisopropylorthoformate in refluxing dioxane to provide bis(isopropyl) ester (III). Removal of the Fmoc-protecting groups of (III) by means of piperidine in DMF affords diamino compound (IV), which is then condensed with acid chloride (V) by means of K2CO3 in THF to provide compound (VI) [acid chloride (V) can be obtained by first treatment of p-(methylsulfanyl)benzoic acid (VII) with morpholine (VIII) in chlorosulfonic acid to give (IX), followed by reaction with oxalyl chloride in THF/DMF]. Finally, the target compound is obtained by treatment of bis(isopropyl) ester (VI) with sodium iodide (NaI) in acetone.

参考文献No.589806
标题:Synthesis of stilbene (bis)sulfonic acid, (bis)benzamides as FSH antagonists
作者:Wrobel, J.; Rogers, J.F.
来源:220th ACS Natl Meet (Aug 20 2000, Washington DC) 2000,Abst MEDI 314
合成路线图解说明:

N-protection of 4,4'-diamnostilbene-2,2'-disulfonic acid (I) with 9-fluorenylmethyl chloroformate (Fmoc-Cl) by means of Na2CO3 in dioxane yields Fmoc-protected derivative (II), which reacts with triisopropylorthoformate in refluxing dioxane to provide bis(isopropyl) ester (III). Removal of the Fmoc-protecting groups of (III) by means of piperidine in DMF affords diamino compound (IV), which is then condensed with acid chloride (V) by means of K2CO3 in THF to provide compound (VI) [acid chloride (V) can be obtained by first treatment of p-(methylsulfanyl)benzoic acid (VII) with morpholine (VIII) in chlorosulfonic acid to give (IX), followed by reaction with oxalyl chloride in THF/DMF]. Finally, the target compound is obtained by treatment of bis(isopropyl) ester (VI) with sodium iodide (NaI) in acetone.

Drug Information Express,Drug R&D,Chemical Database,Patent Search.
Copyright © 2006-2026 Drug Future. All rights reserved.Contact Us