【药物名称】
化学结构式(Chemical Structure):
参考文献No.38590
标题:Glucagon antagonists/inverse agonists
作者:Gonzales, J.; Sams, C.; Teng, M. (Alanex Corp.; Novo Nordisk A/S)
来源:EP 0994848; WO 9901423
合成路线图解说明:

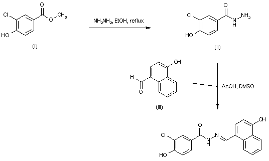
Hydrazide (II) was prepared by treatment of methyl 3-chloro-4-hydroxybenzoate (I) with hydrazine in refluxing EtOH. Condensation of hydrazide (II) with 4-hydroxynaphthaldehyde (III) in the presence of a catalytic amount of glacial HOAc in DMSO produced the target acyl hydrazone.

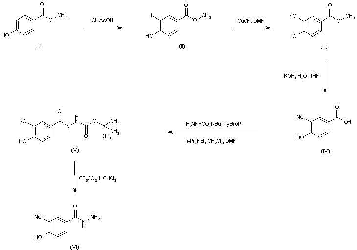
合成路线图解说明:

Methyl 4-hydroxybenzoate (I) is iodinated by means of iodine monochloride in hot AcOH, producing (II). Displacement of the aryl iodide (II) with CuCN gives nitrile (III). Then, ester group saponification in (III) leads to 3-cyano-4-hydroxybenzoic acid (IV). Coupling of (IV) with tert-butyl carbazate produces the N-Boc hydrazide (V), which is further deprotected to (VI) by treatment with trifluoroacetic acid

合成路线图解说明:

Alkylation of 4-hydroxy-3,5-dimethoxybenzaldehyde (VII) with 4-isopropylbenzyl chloride (VIII) affords the benzyloxy benzaldehyde (IX). Then, condensation of aldehyde (IX) with hydrazide (VI) furnishes the target N-acyl hydrazone

参考文献No.631344
标题:Identification of alkylidene hydrazides as glucagon receptor antagonists
作者:Ling, A.; Hong, Y.; Gonzalez, J.; Gregor, V.; Polinsky, A.; Kuki, A.; Shi, S.; Teston, K.; Murphy, D.; Porter, J.B.; Kiel, D.; Lakis, J.; Anderes, K.; May, J.M.; Knudsen, L.B.; Lau, J.
来源:J Med Chem 2001,44(19),3141
合成路线图解说明:

Hydrazide (II) was prepared by treatment of methyl 3-chloro-4-hydroxybenzoate (I) with hydrazine in refluxing EtOH. Condensation of hydrazide (II) with 4-hydroxynaphthaldehyde (III) in the presence of a catalytic amount of glacial HOAc in DMSO produced the target acyl hydrazone.

Drug Information Express,Drug R&D,Chemical Database,Patent Search.
Copyright © 2006-2026 Drug Future. All rights reserved.Contact Us