【药物名称】RWJ-302377
化学结构式(Chemical Structure):
参考文献No.49967
标题:Piperidinyloxy and pyrrolidinyloxyphenyl oxazolidinones as antibacterials
作者:Boggs, C.; Nelson, E.; Weidner-Wells, M.; Hlasta, D. (Ortho-McNeil Pharmaceutical, Inc.)
来源:WO 0146164
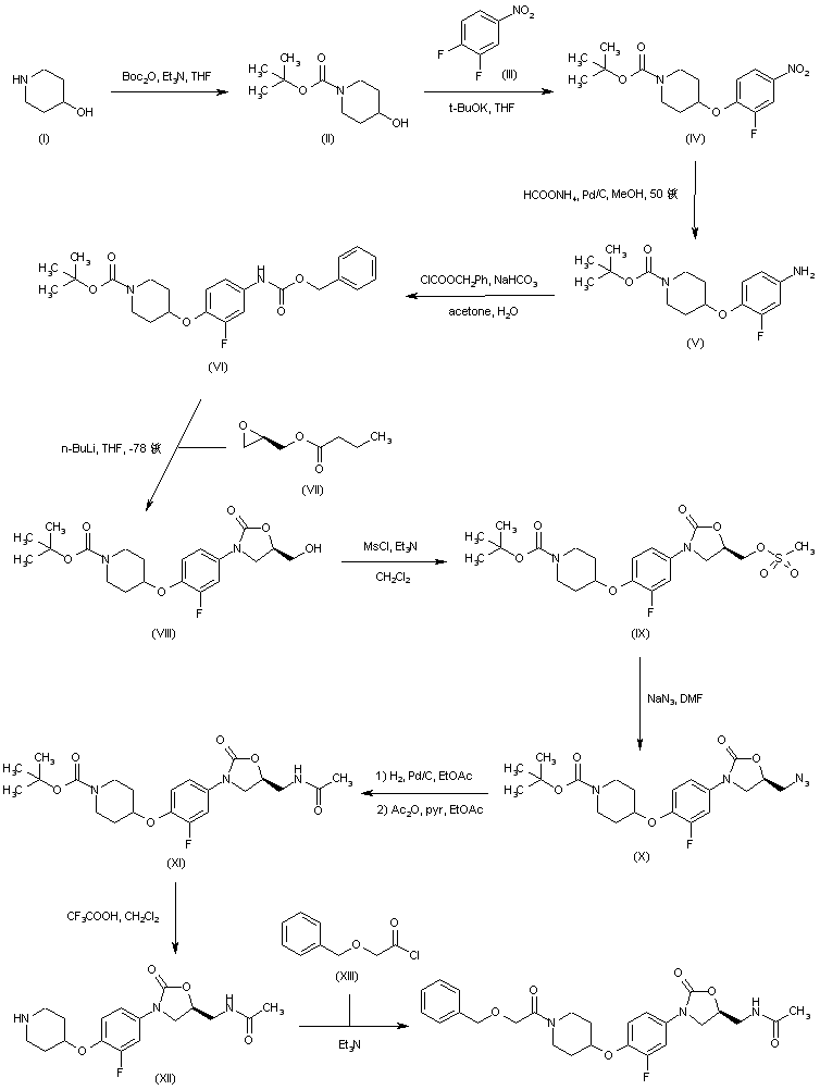
合成路线图解说明:

4-Hydroxypiperidine (I) was protected as the N-Boc derivative (II), which was then condensed with 1,2-difluoro-4-nitrobenzene (III) in the presence of potassium tert-butoxide, yielding ether (IV). Reduction of the nitro group of (IV) by transfer hydrogenation, followed by treatment of the resulting aniline (V) with benzyl chloroformate, afforded carbamate (VI). After deprotonation of the carbamate group of (VI) with n-butyllithium, reaction with (R)-glycidyl butyrate (VII) generated the chiral oxazolidinone (VIII). Conversion of (VIII) to mesylate (IX) and subsequent displacement with NaN3 provided azide (X). This was reduced to the corresponding amine, which was acetylated with Ac2O to furnish amide (XI). Cleavage of the Boc protecting group of (XI) with trifluoroacetic acid gave piperidine (XII). This was finally acylated with benzyloxyacetyl chloride (XIII) to provide the title amide.

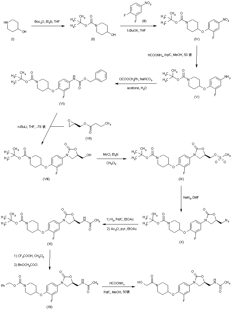
合成路线图解说明:

4-Hydroxypiperidine (I) was protected as the N-Boc derivative (II), which was then condensed with 1,2-difluoro-4-nitrobenzene (III) in the presence of potassium tert-butoxide, yielding ether (IV). Reduction of the nitro group of (IV) by transfer hydrogenation, followed by treatment of the resulting aniline (V) with benzyl chloroformate, afforded carbamate (VI). After deprotonation of the carbamate group of (VI) with n-butyllithium, reaction with (R)-glycidyl butyrate (VII) generated the chiral oxazolidinone (VIII). Conversion of (VIII) to mesylate (IX) and subsequent displacement with NaN3 provided azide (X). This was reduced to the corresponding amine, which was acetylated with Ac2O to furnish amide (XI). Cleavage of the Boc protecting group of (XI) with trifluoroacetic acid, followed by acylation of the resulting piperidine with benzyloxyacetyl chloride, provided amide (XII). Finally, hydrogenolysis of the O-benzyl group of (XII) by transfer hydrogenation in the presence of ammonium formate and Pd/C yielded the title hydroxyacetamide.

参考文献No.589778
标题:Novel piperidinyloxy-oxazolidinone antimicrobial agents: Effects of position, fluorine substitution, and ring-size on in vitro antimicrobial activity
作者:Boggs, C.M.; et al.
来源:220th ACS Natl Meet (Aug 20 2000, Washington DC) 2000,Abst MEDI 98
合成路线图解说明:

4-Hydroxypiperidine (I) was protected as the N-Boc derivative (II), which was then condensed with 1,2-difluoro-4-nitrobenzene (III) in the presence of potassium tert-butoxide, yielding ether (IV). Reduction of the nitro group of (IV) by transfer hydrogenation, followed by treatment of the resulting aniline (V) with benzyl chloroformate, afforded carbamate (VI). After deprotonation of the carbamate group of (VI) with n-butyllithium, reaction with (R)-glycidyl butyrate (VII) generated the chiral oxazolidinone (VIII). Conversion of (VIII) to mesylate (IX) and subsequent displacement with NaN3 provided azide (X). This was reduced to the corresponding amine, which was acetylated with Ac2O to furnish amide (XI). Cleavage of the Boc protecting group of (XI) with trifluoroacetic acid gave piperidine (XII). This was finally acylated with benzyloxyacetyl chloride (XIII) to provide the title amide.

合成路线图解说明:

4-Hydroxypiperidine (I) was protected as the N-Boc derivative (II), which was then condensed with 1,2-difluoro-4-nitrobenzene (III) in the presence of potassium tert-butoxide, yielding ether (IV). Reduction of the nitro group of (IV) by transfer hydrogenation, followed by treatment of the resulting aniline (V) with benzyl chloroformate, afforded carbamate (VI). After deprotonation of the carbamate group of (VI) with n-butyllithium, reaction with (R)-glycidyl butyrate (VII) generated the chiral oxazolidinone (VIII). Conversion of (VIII) to mesylate (IX) and subsequent displacement with NaN3 provided azide (X). This was reduced to the corresponding amine, which was acetylated with Ac2O to furnish amide (XI). Cleavage of the Boc protecting group of (XI) with trifluoroacetic acid, followed by acylation of the resulting piperidine with benzyloxyacetyl chloride, provided amide (XII). Finally, hydrogenolysis of the O-benzyl group of (XII) by transfer hydrogenation in the presence of ammonium formate and Pd/C yielded the title hydroxyacetamide.

参考文献No.591672
标题:Piperidinyloxy substituted oxazolidinones as antibacterial agents. Diversification of the N-substituent
作者:Hilliard, J.J.; Montenegro, D.A.; Nelson, E.A.; Goldschmidt, R.M.; Boggs, C.M.; Weidner-Wells, M.A.; Wira, E.; Hlasta, D.J.; Melton, J.; Foleno, B.D.; Bush, K.
来源:40th Intersci Conf Antimicrob Agents Chemother (Sept 17 2000, Toronto) 2000,Abst F-1828
合成路线图解说明:

4-Hydroxypiperidine (I) was protected as the N-Boc derivative (II), which was then condensed with 1,2-difluoro-4-nitrobenzene (III) in the presence of potassium tert-butoxide, yielding ether (IV). Reduction of the nitro group of (IV) by transfer hydrogenation, followed by treatment of the resulting aniline (V) with benzyl chloroformate, afforded carbamate (VI). After deprotonation of the carbamate group of (VI) with n-butyllithium, reaction with (R)-glycidyl butyrate (VII) generated the chiral oxazolidinone (VIII). Conversion of (VIII) to mesylate (IX) and subsequent displacement with NaN3 provided azide (X). This was reduced to the corresponding amine, which was acetylated with Ac2O to furnish amide (XI). Cleavage of the Boc protecting group of (XI) with trifluoroacetic acid gave piperidine (XII). This was finally acylated with benzyloxyacetyl chloride (XIII) to provide the title amide.

合成路线图解说明:

4-Hydroxypiperidine (I) was protected as the N-Boc derivative (II), which was then condensed with 1,2-difluoro-4-nitrobenzene (III) in the presence of potassium tert-butoxide, yielding ether (IV). Reduction of the nitro group of (IV) by transfer hydrogenation, followed by treatment of the resulting aniline (V) with benzyl chloroformate, afforded carbamate (VI). After deprotonation of the carbamate group of (VI) with n-butyllithium, reaction with (R)-glycidyl butyrate (VII) generated the chiral oxazolidinone (VIII). Conversion of (VIII) to mesylate (IX) and subsequent displacement with NaN3 provided azide (X). This was reduced to the corresponding amine, which was acetylated with Ac2O to furnish amide (XI). Cleavage of the Boc protecting group of (XI) with trifluoroacetic acid, followed by acylation of the resulting piperidine with benzyloxyacetyl chloride, provided amide (XII). Finally, hydrogenolysis of the O-benzyl group of (XII) by transfer hydrogenation in the presence of ammonium formate and Pd/C yielded the title hydroxyacetamide.

Drug Information Express,Drug R&D,Chemical Database,Patent Search.
Copyright © 2006-2026 Drug Future. All rights reserved.Contact Us