【药物名称】PNTI
化学结构式(Chemical Structure):
参考文献No.590204
标题:Reporter affinity labels: An o-phthalaldehyde derivative of beta-naltrexamide as a fluorogenic ligand for opioid receptors
作者:Le Bourdonnec, B.; El Kouhen, R.; Lunzer, M.M.; Law, P.Y.; Loh, H.H.; Portoghese, P.S.
来源:J Med Chem 2000,43(13),2489
合成路线图解说明:

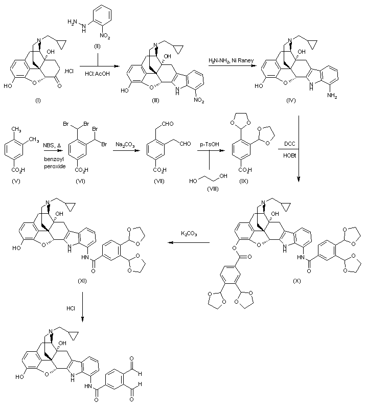
Treatment of naltrexone hydrochloride (I) with 2-nitrophenylhydrazine (II) under Fischer conditions in HCl:HOAc provides nitroindole derivative (III), which is reduced by means of hydrazine and Ni Raney in EtOH to afford amine (IV). Separately, 3,4-dimethylbenzoic acid (V) is brominated with NBS and benzoyl peroxide in refluxing CCl4 to furnish tetrabromo derivative (VI), which is then hydrolyzed with Na2CO3 in H2O to yield 3,4-diformylbenzoic acid (VII). Bis acetalization of (VII) with ethylene glycol (VIII) in benzene in the presence of p-TsOH affords carboxylic acid (IX), which is then coupled with intermediate (IV) by means of DCC and HOBt in DMF to give the corresponding amido ester derivative (X). Selective saponification of (X) with K2CO3 in MeOH affords amide (XI), which is finally converted into the target compound by hydrolysis with HCl in acetone.

参考文献No.611426
标题:Covalently induced activation of the delta opioid receptor by a fluorogenic affinity label, 7'-(phthalaldehyde-carboxamido)naltrindole (PNTI)
作者:Le Bourdonnec, B.; El Kouhen, R.; Poda, G.; Law, P.Y.; Loh, H.H.; Ferguson, D.M.; Portoghese, P.S.
来源:J Med Chem 2001,44(7),1017
合成路线图解说明:

Treatment of naltrexone hydrochloride (I) with 2-nitrophenylhydrazine (II) under Fischer conditions in HCl:HOAc provides nitroindole derivative (III), which is reduced by means of hydrazine and Ni Raney in EtOH to afford amine (IV). Separately, 3,4-dimethylbenzoic acid (V) is brominated with NBS and benzoyl peroxide in refluxing CCl4 to furnish tetrabromo derivative (VI), which is then hydrolyzed with Na2CO3 in H2O to yield 3,4-diformylbenzoic acid (VII). Bis acetalization of (VII) with ethylene glycol (VIII) in benzene in the presence of p-TsOH affords carboxylic acid (IX), which is then coupled with intermediate (IV) by means of DCC and HOBt in DMF to give the corresponding amido ester derivative (X). Selective saponification of (X) with K2CO3 in MeOH affords amide (XI), which is finally converted into the target compound by hydrolysis with HCl in acetone.

参考文献No.644785
标题:delta Opioid antagonist activity and binding studies of regioisomeric isothiocyanate derivatives of naltrindole: Evidence for delta receptor subtypes
作者:Portoghese, P.S.; Sultana, M.; Nelson, W.L.; Klein, P.; Takemori, A.E.
来源:J Med Chem 1992,35(22),4086
合成路线图解说明:

Treatment of naltrexone hydrochloride (I) with 2-nitrophenylhydrazine (II) under Fischer conditions in HCl:HOAc provides nitroindole derivative (III), which is reduced by means of hydrazine and Ni Raney in EtOH to afford amine (IV). Separately, 3,4-dimethylbenzoic acid (V) is brominated with NBS and benzoyl peroxide in refluxing CCl4 to furnish tetrabromo derivative (VI), which is then hydrolyzed with Na2CO3 in H2O to yield 3,4-diformylbenzoic acid (VII). Bis acetalization of (VII) with ethylene glycol (VIII) in benzene in the presence of p-TsOH affords carboxylic acid (IX), which is then coupled with intermediate (IV) by means of DCC and HOBt in DMF to give the corresponding amido ester derivative (X). Selective saponification of (X) with K2CO3 in MeOH affords amide (XI), which is finally converted into the target compound by hydrolysis with HCl in acetone.

Drug Information Express,Drug R&D,Chemical Database,Patent Search.
Copyright © 2006-2026 Drug Future. All rights reserved.Contact Us