【药物名称】
化学结构式(Chemical Structure):
参考文献No.20191
标题:Pyrroloazepine cpd.
作者:Mizuno, A.; Miya, M.; Inomata, N.; Tatsuoka, T.; Ishihara, T. (Suntory Ltd.)
来源:EP 0557526; JP 1993503481; US 5399557; WO 9303032
合成路线图解说明:

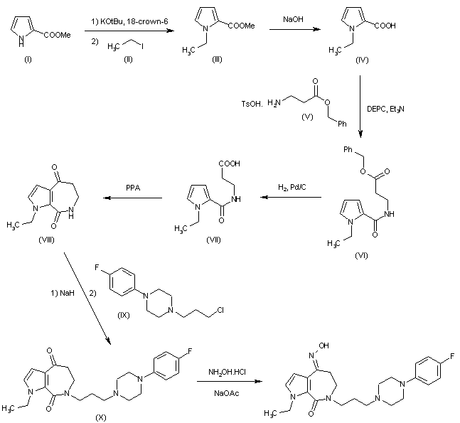
Treatment of methyl pyrrole-2-carboxylate (I) with KOtBu and 18-crown-6 in Et2O, followed by reaction with ethyl iodide (II) in Et2O, yields methyl 1-ethylpyrrole-2-carboxylate (III), which is then subjected to saponification with NaOH to afford carboxylic acid (IV). Condensation of (IV) with beta-alanine benzyl ester p-toluene sulfonate (V) in the presence of diethyl phosphorocyanidate (DEPC) and Et3N in DMF provides benzyl ester (VI), which is then hydrogenated over Pd/C in THF, furnishing carboxylic acid (VII). Cyclization of (VII) with polyphosphoric acid (PPA) affords derivative (VIII), which is then treated with NaH in DMF and alkylated with chloro derivative (IX) in DMF to produce compound (X). Finally, treatment of (X) with hydroxylamine hydrochloride and NaOAc affords the target compound.

参考文献No.589575
标题:Studies on antihypertensive agents with antithrombotic activity. 2. Syntheses and pharmacological evaluation of pyrrolo[2,3-c]azepine derivatives
作者:Mizuno, A.; Miya, M.; Kamei, T.; Shibata, M.; Tatsuoka, T.; Nakanishi, K.; Takiguchi, C.; Hidaka, T.; Yamaki, A.; Inomata, N.
来源:Chem Pharm Bull 2000,48(8),1129
合成路线图解说明:

Treatment of methyl pyrrole-2-carboxylate (I) with KOtBu and 18-crown-6 in Et2O, followed by reaction with ethyl iodide (II) in Et2O, yields methyl 1-ethylpyrrole-2-carboxylate (III), which is then subjected to saponification with NaOH to afford carboxylic acid (IV). Condensation of (IV) with beta-alanine benzyl ester p-toluene sulfonate (V) in the presence of diethyl phosphorocyanidate (DEPC) and Et3N in DMF provides benzyl ester (VI), which is then hydrogenated over Pd/C in THF, furnishing carboxylic acid (VII). Cyclization of (VII) with polyphosphoric acid (PPA) affords derivative (VIII), which is then treated with NaH in DMF and alkylated with chloro derivative (IX) in DMF to produce compound (X). Finally, treatment of (X) with hydroxylamine hydrochloride and NaOAc affords the target compound.

Drug Information Express,Drug R&D,Chemical Database,Patent Search.
Copyright © 2006-2026 Drug Future. All rights reserved.Contact Us