【药物名称】
化学结构式(Chemical Structure):
参考文献No.46838
标题:Method for preparing substd. [1,4]diazepino[6,7,1-hi]indol-4-ones
作者:Bernardelli, P. (Pfizer Inc.)
来源:FR 2795731; WO 0102403
合成路线图解说明:

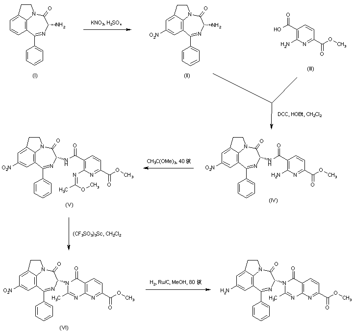
3(R)-Amino-1-phenyl-6,7-dihydro-3H-[1,4]diazepin[6,7,1-hi]indol-4-one (I) was nitrated using KNO3 in concentrated H2SO4 to furnish the 9-nitro derivative (II). Coupling of (II) with 2-amino-6-(methoxycarbonyl)pyridine-3-carboxylic acid (III) in the presence of DCC and HOBt gave amide (IV). Imidate (V) was prepared by heating (IV) with trimethyl orthoacetate under vacuum distillation of the generated MeOH. Cyclization of (V) to produce the target pyridopyrimidine system (VI) was achieved using scandium triflate as the catalyst. The nitro group was finally hydrogenated over Ru/C to yield the title amino derivative.

Drug Information Express,Drug R&D,Chemical Database,Patent Search.
Copyright © 2006-2026 Drug Future. All rights reserved.Contact Us