【药物名称】
化学结构式(Chemical Structure):
参考文献No.36025
标题:Integrin antagonists
作者:Duggan, M.E.; Hartman, G.D.; Hoffman, W.F.; Meissner, R.S.; Perkins, J.J.; Askew, B.C.; Coleman, P.J.; Hutchinson, J.H.; Naylor-Olsen, A.M. (Merck & Co., Inc.)
来源:EP 0934305; US 5981546; WO 9808840
合成路线图解说明:

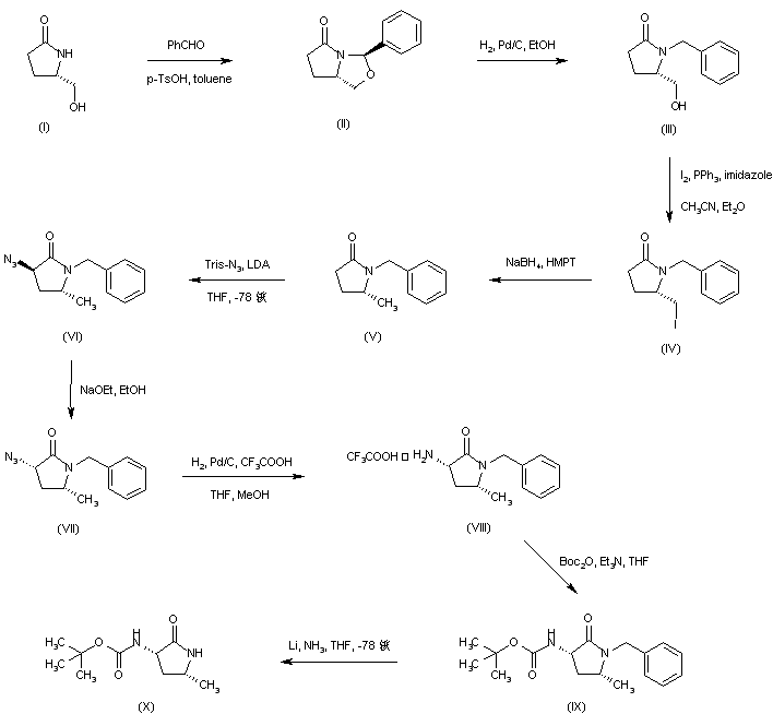
(S)-5-(Hydroxymethyl)-2-pyrrolidinone (I) was condensed with benzaldehyde in the presence of p-toluenesulfonic acid, and the resulting oxazolidine (II) was hydrogenated over Pd/C to afford the N-benzyl pyrrolidinone (III). Treatment of alcohol (III) with I2 and triphenylphosphine gave iodide (IV), which was reduced to the methyl pyrrolidinone (V) employing NaBH4 in HMPT. An azido group was introduced at position 3 of pyrrolidinone (V) by treatment with 2,4,6-triisopropylbenzenesulfonyl azide in the presence of LDA, and the resulting trans-azide (VI) was subsequently epimerized to the cis-isomer (VII) by means of NaOEt in EtOH. Reduction of the azido group of (VII) to the corresponding amine (VIII) was carried out by catalytic hydrogenation over Pd/C, and further treatment with Boc2O provided the tert-butyl carbamate (IX). The N-benzyl group was then removed by means of lithium metal in liquid ammonia to afford (X).

合成路线图解说明:

Pyrrolidinone (X) was alkylated with ethyl bromoacetate to afford ester (XVII), which was further hydrolyzed to acid (XVIII). Its coupling with amino ester (XIX) in the presence of EDC and HOBt furnished amide (XX). The N-Boc group of (XX) was then cleaved with HCl in EtOAc to provide amine (XXI) Aldehyde (XXVI) was obtained by condensation of 2-aminopyridine-3-carboxaldehyde (XXII) with pyruvaldehyde dimethyl acetal (XXIII), followed by partial hydrogenation of the resulting naphthyridine (XXIV) and acid hydrolysis of the dimethyl acetal group. Finally, reductive condensation of amine (XXI) with aldehyde (XXVI) in the presence of sodium triacetoxyborohydride yielded the title compound.

参考文献No.581324
标题:WF14865A and B, new cathepsins B and L inhibitors produed by Aphanoascus fulvescens. I. Taxomy, production, purification and biological properties
作者:Otsuka, T.; Muramatsu, Y.; Nakanishi, T.; Hatanaka, H.; Okamoto, M.; Hino, M.; Hashimoto, S.
来源:J Antibiot 2000,53(5),449
合成路线图解说明:

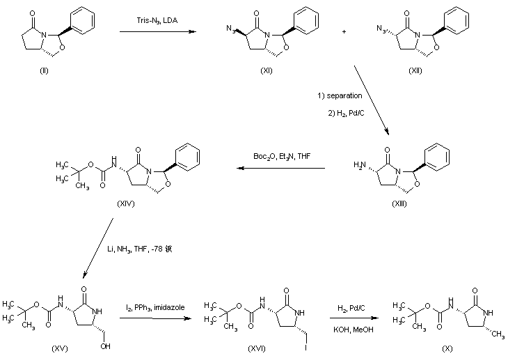
In a related procedure, the protected pyrrolidinone (II) was treated with 2,4,6-triisopropylbenzenesulfonyl azide and LDA to produce a 1:3.2 mixture of isomeric azides (XI) and (XII). After isolation of the major cis-isomer (XII), its catalytic hydrogenation over Pd/C yielded amine (XIII), which was subsequently protected as the N-Boc derivative (XIV). Reductive cleavage of the benzylidene group of (XIV) using Li in liquid ammonia provided the (hydroxymethyl)pyrrolidinone (XV). Reduction of the hydroxymethyl group to the methyl derivative (X) was effected via iodide (XVI) in a similar sequence as above.

合成路线图解说明:

Pyrrolidinone (X) was alkylated with ethyl bromoacetate to afford ester (XVII), which was further hydrolyzed to acid (XVIII). Its coupling with amino ester (XIX) in the presence of EDC and HOBt furnished amide (XX). The N-Boc group of (XX) was then cleaved with HCl in EtOAc to provide amine (XXI) Aldehyde (XXVI) was obtained by condensation of 2-aminopyridine-3-carboxaldehyde (XXII) with pyruvaldehyde dimethyl acetal (XXIII), followed by partial hydrogenation of the resulting naphthyridine (XXIV) and acid hydrolysis of the dimethyl acetal group. Finally, reductive condensation of amine (XXI) with aldehyde (XXVI) in the presence of sodium triacetoxyborohydride yielded the title compound.

Drug Information Express,Drug R&D,Chemical Database,Patent Search.
Copyright © 2006-2026 Drug Future. All rights reserved.Contact Us