【药物名称】
化学结构式(Chemical Structure):
参考文献No.45950
标题:Pyrazole carboxamides useful for the treatment of obesity and other disorders
作者:Reitz, A.B.; Lovenberg, T.W.; Kordik, C.P. (Ortho-McNeil Pharmaceutical, Inc.)
来源:WO 0069849
合成路线图解说明:

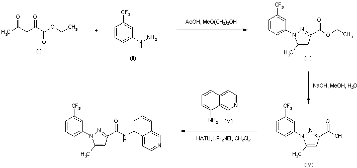
Cyclization of ethyl 2,4-dioxovalerate (I) with 3-(trifluoromethyl)phenylhydrazine (II) in a refluxing mixture of HOAc and 2-methoxyethanol produced pyrazole ester (III). After saponification of the ethyl ester group of (III), the resulting carboxylic acid (IV) was coupled to 5-aminoisoquinoline (V) by using O-(7-azabenzotriazol-1-yl)-N,N,N',N'-tetramethyluronium hexafluorophosphate to furnish the corresponding amide.

参考文献No.589322
标题:Pyrazole-based antagonists of the human neuropeptide-Y5 (NPY5) receptor
作者:Kordik, C.P.; Lou, C.; Zanoni, B.; et al.
来源:220th ACS Natl Meet (Aug 20 2000, Washington DC) 2000,Abst MEDI 304
合成路线图解说明:

Cyclization of ethyl 2,4-dioxovalerate (I) with 3-(trifluoromethyl)phenylhydrazine (II) in a refluxing mixture of HOAc and 2-methoxyethanol produced pyrazole ester (III). After saponification of the ethyl ester group of (III), the resulting carboxylic acid (IV) was coupled to 5-aminoisoquinoline (V) by using O-(7-azabenzotriazol-1-yl)-N,N,N',N'-tetramethyluronium hexafluorophosphate to furnish the corresponding amide.

参考文献No.632010
标题:Pyrazolecarboxamide human neuropeptide Y5 receptor ligands with in vivo antifeedant activity
作者:Kordik, C.P.; Luo, C.; Zanoni, B.C.; Lovenberg, T.W.; Wilson, S.J.; Vaidya, A.H.; Crooke, J.J.; Rosenthal, D.I.; Reitz, A.B.
来源:Bioorg Med Chem Lett 2001,11(17),2287
合成路线图解说明:

Cyclization of ethyl 2,4-dioxovalerate (I) with 3-(trifluoromethyl)phenylhydrazine (II) in a refluxing mixture of HOAc and 2-methoxyethanol produced pyrazole ester (III). After saponification of the ethyl ester group of (III), the resulting carboxylic acid (IV) was coupled to 5-aminoisoquinoline (V) by using O-(7-azabenzotriazol-1-yl)-N,N,N',N'-tetramethyluronium hexafluorophosphate to furnish the corresponding amide.

Drug Information Express,Drug R&D,Chemical Database,Patent Search.
Copyright © 2006-2026 Drug Future. All rights reserved.Contact Us