【药物名称】
化学结构式(Chemical Structure):
参考文献No.46898
标题:Heteroaryl protease inhibitors and diagnostic imaging agents
作者:Tumczuk, B.E.; Pan, W.; Soll, R.M.; Lu, T. (3-Dimensional Pharmaceuticals, Inc.)
来源:WO 0104117
合成路线图解说明:

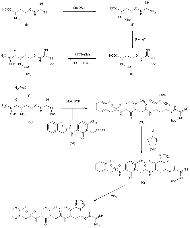
Synthetic pathway for obtaining EN 292685: Treatment of amino acid (I) with CbzOSu affords the protected amino acid (II), which is further protected by means of Boc2O to yield derivative (III). Condensation of amino acid (III) with N,O-dimethyl hydroxylamine by means of BOP and DIEA provides hydroxamic ester (IV), which is then subjected to hydrogenolysis over Pd/C in CHCl3 for selective deprotection, furnishing compound (V). Coupling of (V) to intermediate (VI) affords derivative (VII), which is then coupled to lithium derivative (VIII) to give protected compound (IX). Finally, the Boc group of (IX) is removed by treatment with TFA.

合成路线图解说明:

Synthesis of intermediate (VI): Treatment of pyridone (X) with diphenyl phosphoryl azide (DPPA) followed by reaction with benzyl alcohol affords the protected derivative (XI), which then reacts with tert-butyl bromoacetate (XII) by means of Cs2CO3 to provide the acetate derivative (XIII). Hydrogenation of (XIII) over Pd/C allows Cbz removal, giving amine (XIV), which is then condensed with iodo derivative (XV) to furnish sulfonamide compound (XVI). Finally, hydrolysis of (XVI) is achieved by treatment with TFA to afford the target intermediate (VI).

参考文献No.589332
标题:Heteroaryl keto thrombin inhibitors: Design and synthesis
作者:Soll, R.M.; Lu, T.; Tomczuk, B.E.; Spurlino, J.; Pan, W.; Bone, R.; Green, D.W.
来源:220th ACS Natl Meet (Aug 20 2000, Washington DC) 2000,Abst MEDI 285
合成路线图解说明:

Synthetic pathway for obtaining EN 292685: Treatment of amino acid (I) with CbzOSu affords the protected amino acid (II), which is further protected by means of Boc2O to yield derivative (III). Condensation of amino acid (III) with N,O-dimethyl hydroxylamine by means of BOP and DIEA provides hydroxamic ester (IV), which is then subjected to hydrogenolysis over Pd/C in CHCl3 for selective deprotection, furnishing compound (V). Coupling of (V) to intermediate (VI) affords derivative (VII), which is then coupled to lithium derivative (VIII) to give protected compound (IX). Finally, the Boc group of (IX) is removed by treatment with TFA.

合成路线图解说明:

Synthesis of intermediate (VI): Treatment of pyridone (X) with diphenyl phosphoryl azide (DPPA) followed by reaction with benzyl alcohol affords the protected derivative (XI), which then reacts with tert-butyl bromoacetate (XII) by means of Cs2CO3 to provide the acetate derivative (XIII). Hydrogenation of (XIII) over Pd/C allows Cbz removal, giving amine (XIV), which is then condensed with iodo derivative (XV) to furnish sulfonamide compound (XVI). Finally, hydrolysis of (XVI) is achieved by treatment with TFA to afford the target intermediate (VI).

Drug Information Express,Drug R&D,Chemical Database,Patent Search.
Copyright © 2006-2026 Drug Future. All rights reserved.Contact Us