【药物名称】
化学结构式(Chemical Structure):
参考文献No.562473
标题:Novel synthetic oleanate triterpenoids: A series of highly active inhibitors of nitric production in mouse macrophages
作者:Honda, T.; Rounds, B.V.; Bore, L.; Favaloro, F.G. Jr.; Gribble, G.W.; Suh, N.; Wang, Y.; Sporn, M.B.
来源:Bioorg Med Chem Lett 1999,9(24),3429
合成路线图解说明:

Hydrolysis of the acetate ester from oleanoic acid derivative (I) by means of methanolic KOH afforded alcohol (II). Subsequent Jones oxidation of (II) yielded the corresponding ketone (III) (1). This was condensed with Stiles' reagent in DMF, followed by esterification with diazomethane to produce ketoester (IV). The required alpha,beta-unsaturated ester (VI) was then obtained by conversion of (IV) to the phenylselenyl derivative (V), followed by oxidation with H2O2 and elimination of the resulting selenoxide. Finally, partial hydrolysis of (VI) with KOH furnished the title carboxylic acid.

合成路线图解说明:

Selective hydrolysis of the acetate ester from oleanoic acid derivative (I) by means of methanolic KOH afforded alcohol (II), which was oxidized to the corresponding ketone (III) with Jones reagent. Claisen condensation of (III) with ethyl formate in the presence of NaOMe produced ketoaldehyde (IV). Isoxazole derivative (V) was then obtained by cyclization of (IV) with hydroxylamine. Subsequent cleavage of the isoxazole ring of (V) with sodium methoxide gave rise to keto nitrile (VI). The title alpha,beta-unsaturated nitrile was then obtained by conversion of (VI) to the phenylselenyl derivative (VII), followed by oxidation with H2O2 and elimination of the resulting selenoxide.

合成路线图解说明:

Formylation of methyl 3-oxooleanolate (I) with ethyl formate and NaOMe afforded the (hydroxymethylene)derivative (II). The unsaturated aldehyde (IV) was prepared by selenylation of (II) with phenylselenyl chloride and pyridine, followed by oxidation of the resulting selenide (III) with H2O2 with concomitant elimination of the resulting selenoxide. Jones oxidation of aldehyde (IV) afforded carboxylic acid (V). Finally, hydrolysis of the hindered methyl ester group of (V) was achieved by treatment with lithium iodide in refluxing DMF.

参考文献No.589509
标题:Novel synthetic oleanane and ursane triterpenoids with various enone functionalities in ring A as inhibitors of nitric oxide production in mouse macrophages
作者:Honda, T.; Gribble, G.W.; Suh, N.; Finlay, H.J.; Rounds, B.V.; Bore, L.; Favaloro, F.G. Jr.; Wang, Y.; Sporn, M.B.
来源:J Med Chem 2000,43(9),1866
合成路线图解说明:

Formylation of methyl 3-oxooleanolate (I) with ethyl formate and NaOMe afforded the (hydroxymethylene)derivative (II). The unsaturated aldehyde (IV) was prepared by selenylation of (II) with phenylselenyl chloride and pyridine, followed by oxidation of the resulting selenide (III) with H2O2 with concomitant elimination of the resulting selenoxide. Jones oxidation of aldehyde (IV) afforded carboxylic acid (V). Finally, hydrolysis of the hindered methyl ester group of (V) was achieved by treatment with lithium iodide in refluxing DMF.

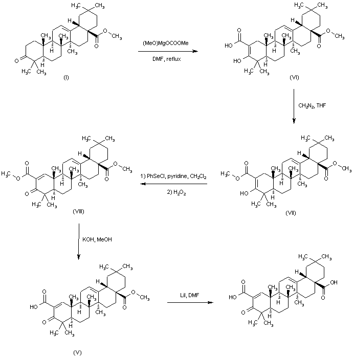
合成路线图解说明:

In an alternative procedure, carboxylation of 3-oxooleanolate (I) with Stiles' reagent produced keto acid (VI), which was subsequently esterified with diazomethane to afford diester (VII). Selenylation, followed by oxidative elimination, gave rise to unsaturated ester (VIII). Basic hydrolysis removed only the less hindered methyl ester group to give monoester (V). This was finally converted into the title diacid by treatment with LiI in DMF.

Drug Information Express,Drug R&D,Chemical Database,Patent Search.
Copyright © 2006-2026 Drug Future. All rights reserved.Contact Us