【药物名称】
化学结构式(Chemical Structure):
参考文献No.589300
标题:PPAR agonists for metabolic diseases
作者:Lambert, M.H.; Xu, H.E.; Collins, J.L.; Willson, T.M.; Henke, B.R.; Oplinger, J.A.; Brown, P.J.
来源:220th ACS Natl Meet (Aug 20 2000, Washington DC) 2000,Abst MEDI 197
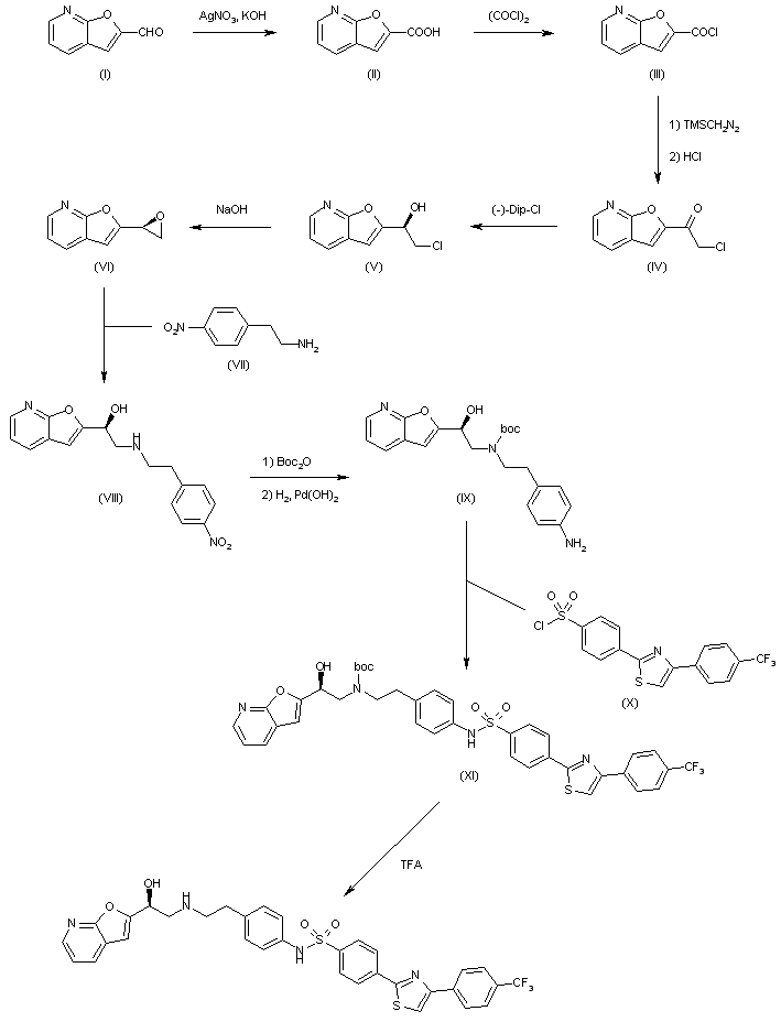
合成路线图解说明:

Oxidation of aldehyde (I) with AgNO3 in EtOH/H2O in the presence of KOH provides carboxylic acid (II), which is then converted into acid chloride (III) by means of (COCl)2 in CH2Cl2 and catalytic DMF. Treatment of (III) with trimethylsilyl diazomethane (TMSCH2N2) in Et2O followed by HCl(g) in Et2O furnishes chloro derivative (IV), which is then enantioselectively reduced by means of (-)-Dip-Cl to afford alcohol (V). Treatment of (V) with NaOH in THF/H2O induces formation of epoxy derivative (VI), which is then condensed with amine (VII) to yield compound (VIII). N-Protection of (VIII) by reaction with Boc2O in CH2Cl2, followed by reduction of the nitro moiety by hydrogenation over Pd(OH)2 in MeOH, gives amine (IX). Amine (IX) is converted into sulfonamide (XI) by reaction with sulfonyl chloride (X) in CH2Cl2 in the presence of pyridine. Finally, the Boc group of (XI) is removed by means of TFA in CH2Cl2 to furnish the desired product.

Drug Information Express,Drug R&D,Chemical Database,Patent Search.
Copyright © 2006-2026 Drug Future. All rights reserved.Contact Us