【药物名称】
化学结构式(Chemical Structure):
参考文献No.589319
标题:Cyclic imides as potent and selective alpha-1A adrenergic receptor antagonists
作者:Bell, M.G.; DiPardo, R.M.; Crowell, T.A.; et al.
来源:220th ACS Natl Meet (Aug 20 2000, Washington DC) 2000,Abst MEDI 298
合成路线图解说明:

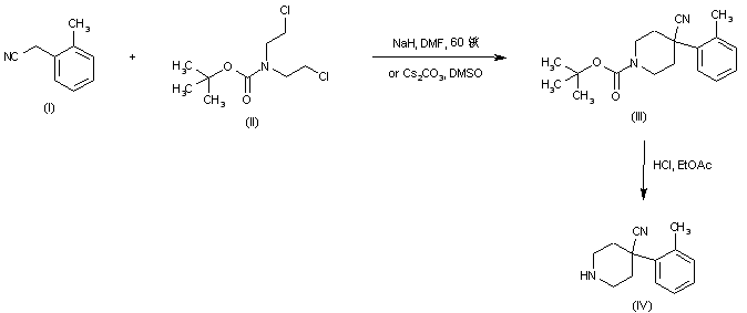
The intermediate piperidine (IV) was prepared by bis-alkylation of o-methylphenylacetonitrile (I) with N-Boc-bis(2-chloroethyl)amine (II), followed by deprotection of the resulting N-Boc-piperidine (III) with HCl in EtOAc.

合成路线图解说明:

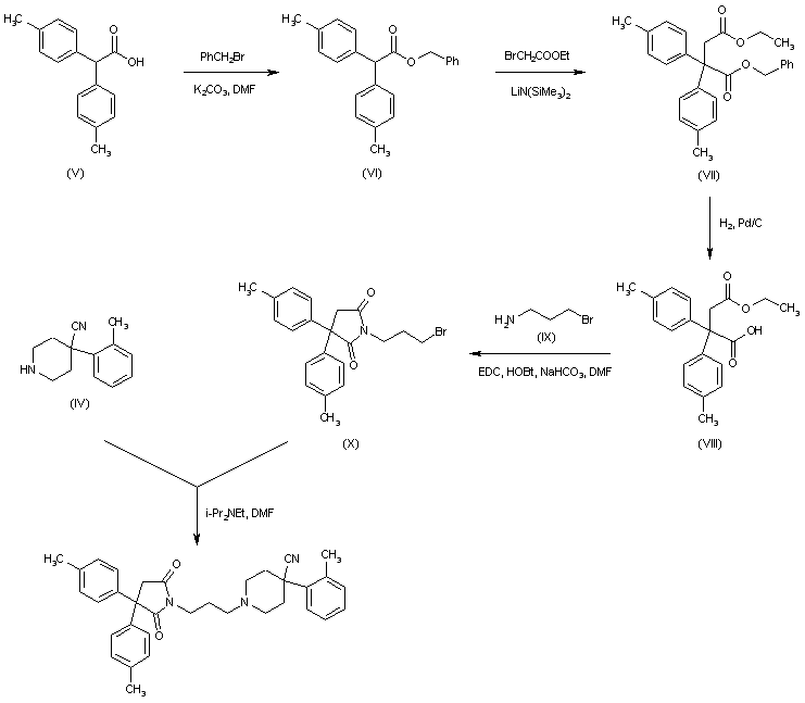
Di-tolylacetic acid (V) was converted into the benzyl ester (VI) using benzyl bromide and K2CO3 in DMF. Subsequent alpha-alkylation of ester (VI) with ethyl bromoacetate provided diester (VII). The benzyl ester group of (VII) was then removed by hydrogenolysis over Pd/C. Condensation of the resulting mono-acid (VIII) with 3-bromopropylamine (IX) in the presence of EDC and HOBt furnished the N-(bromopropyl)succinimide (X). This was finally condensed with piperidine (IV) to provide the title compound.

参考文献No.631306
标题:Cyclic imides as potent and selective alpha-1A adrenergic receptor antagonists
作者:DiPardo, R.M.; Patane, M.A.; Newton, R.C.; Price, R.A.; Broten, T.P.; Chang, R.S.L.; Ransom, R.W.; Di Salvo, J.; Freidinger, R.M.; Bock, M.G.
来源:Bioorg Med Chem Lett 2001,11(14),1959
合成路线图解说明:

The intermediate piperidine (IV) was prepared by bis-alkylation of o-methylphenylacetonitrile (I) with N-Boc-bis(2-chloroethyl)amine (II), followed by deprotection of the resulting N-Boc-piperidine (III) with HCl in EtOAc.

合成路线图解说明:

Di-tolylacetic acid (V) was converted into the benzyl ester (VI) using benzyl bromide and K2CO3 in DMF. Subsequent alpha-alkylation of ester (VI) with ethyl bromoacetate provided diester (VII). The benzyl ester group of (VII) was then removed by hydrogenolysis over Pd/C. Condensation of the resulting mono-acid (VIII) with 3-bromopropylamine (IX) in the presence of EDC and HOBt furnished the N-(bromopropyl)succinimide (X). This was finally condensed with piperidine (IV) to provide the title compound.

Drug Information Express,Drug R&D,Chemical Database,Patent Search.
Copyright © 2006-2026 Drug Future. All rights reserved.Contact Us