【药物名称】
化学结构式(Chemical Structure):
参考文献No.44128
标题:Aromatic amides
作者:Wikel, J.H.; Yee, Y.K.; Weir, L.C.; Joseph, S.P.; Tebbe, A.L.; Sawyer, J.S.; Goodson, T.J.; Franciscovich, J.B.; Tinsley, J.M.; Wiley, M.R.; Milot, G.; Pineiro-Nunez, M.M.; Masters, J.J.; Hall, S.E.; (Eli Lilly and Company)
来源:WO 0039118
合成路线图解说明:

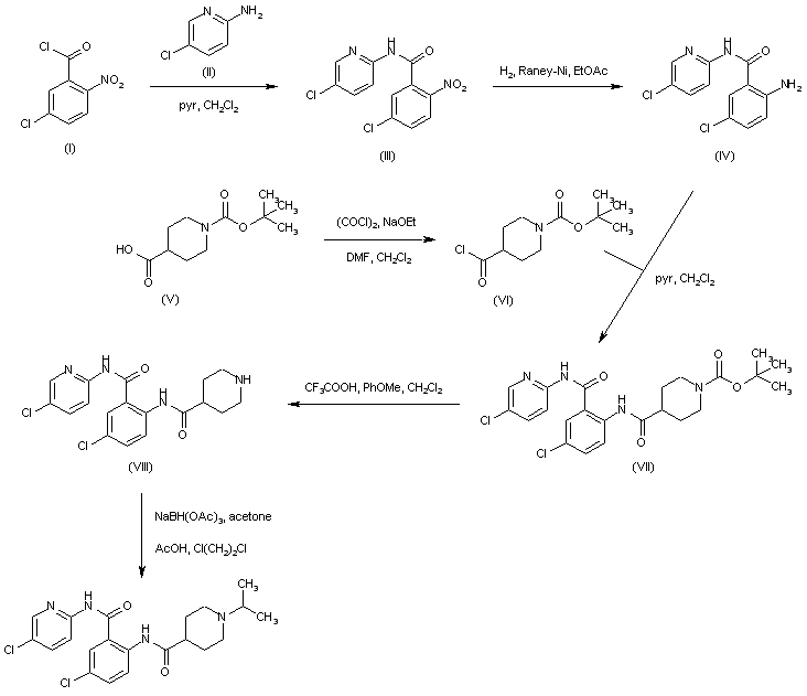
The condensation between 5-chloro-2-nitrobenzoyl chloride (I) and 2-amino-5-chloropyridine (II) produced the corresponding amide (III). Subsequent catalytic hydrogenation of the nitro group of (III) gave aniline (IV). Acid chloride (VI), prepared from N-Boc-isonipecotic acid (V) and oxalyl chloride, was then coupled to aniline (IV) to furnish amide (VII). Further trifluoroacetic acid-promoted cleavage of the Boc protecting group of (VII) yielded piperidine (VIII). Finally, reductive alkylation with acetone in the presence of sodium triacetoxyborohydride gave rise to the target N-isopropyl piperidine.

合成路线图解说明:

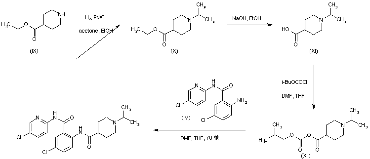
An alternative preparation for the title compound consisted in the reductive alkylation of ethyl isonipecotate (IX) with acetone to afford the N-isopropyl isonipecotate (X). After basic hydrolysis of the ethyl ester group of (X), the resulting carboxylic acid (XI) was activated as the mixed anhydride (XII) with isobutyl chloroformate. Anhydride (XII) was finally coupled to aniline (IV) to generate the required amide.

参考文献No.589328
标题:SAR investigations of N-aryl-2-[(piperidin-4-ylcarbonyl)amino]benzamide factor Xa inhibitors
作者:Kyle, J.A.; et al.
来源:220th ACS Natl Meet (Aug 20 2000, Washington DC) 2000,Abst MEDI 288
合成路线图解说明:

The condensation between 5-chloro-2-nitrobenzoyl chloride (I) and 2-amino-5-chloropyridine (II) produced the corresponding amide (III). Subsequent catalytic hydrogenation of the nitro group of (III) gave aniline (IV). Acid chloride (VI), prepared from N-Boc-isonipecotic acid (V) and oxalyl chloride, was then coupled to aniline (IV) to furnish amide (VII). Further trifluoroacetic acid-promoted cleavage of the Boc protecting group of (VII) yielded piperidine (VIII). Finally, reductive alkylation with acetone in the presence of sodium triacetoxyborohydride gave rise to the target N-isopropyl piperidine.

Drug Information Express,Drug R&D,Chemical Database,Patent Search.
Copyright © 2006-2026 Drug Future. All rights reserved.Contact Us