【药物名称】
化学结构式(Chemical Structure):
参考文献No.589326
标题:Benzylidene ketal derivatives as M2 muscarinic receptor antagonists
作者:Chackalamannil, S.; Chen, L.-Y.; Boyle, C.D.; et al.
来源:220th ACS Natl Meet (Aug 20 2000, Washington DC) 2000,Abst MEDI 114
合成路线图解说明:

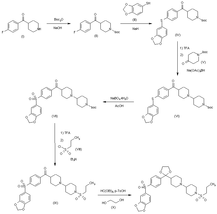
N-protection of the NH group of (I) with Boc2O and NaOH in Et2O yields derivative (II), which is then condensed with compound (III) by means of NaH in DMF to provide (IV). N-deprotection of (IV) by treatment with TFA in CH2Cl2 followed by reductocondensation with N-Boc-4-piperidone (V) in CH2Cl2 in the presence of Na(OAc)3BH affords compound (VI), which is oxidized with NaBO3.4H2O to provide (VII). Boc removal of (VII) by treatment with TFA in CH2Cl2, followed by reaction of the resulting secondary amine with sulfonyl chloride (VIII) in CH2Cl2 in the presence of Et3N, affords propylsulfonamide derivative (IX). Finally, treatment of (IX) with ethyleneglycol (X) in toluene in the presence of HC(OEt)3 and p-TsOH furnishes the target compound.

参考文献No.604010
标题:Benzylidine ketal derivatives as M2 muscarinic receptor antagonists
作者:Boyle, C.D.; Chackalamannil, S.; Chen, L.-Y.; Dugar, S.; Pushpavanam, P.; Billard, W.; Binch, H. III.; Crosby, G.; Cohen-Williams, M.; Coffin, V.L.; Duffy, R.A.; Ruperto, V.; Lachowicz, J.E.
来源:Bioorg Med Chem Lett 2000,10(24),2727
合成路线图解说明:

N-protection of the NH group of (I) with Boc2O and NaOH in Et2O yields derivative (II), which is then condensed with compound (III) by means of NaH in DMF to provide (IV). N-deprotection of (IV) by treatment with TFA in CH2Cl2 followed by reductocondensation with N-Boc-4-piperidone (V) in CH2Cl2 in the presence of Na(OAc)3BH affords compound (VI), which is oxidized with NaBO3.4H2O to provide (VII). Boc removal of (VII) by treatment with TFA in CH2Cl2, followed by reaction of the resulting secondary amine with sulfonyl chloride (VIII) in CH2Cl2 in the presence of Et3N, affords propylsulfonamide derivative (IX). Finally, treatment of (IX) with ethyleneglycol (X) in toluene in the presence of HC(OEt)3 and p-TsOH furnishes the target compound.

Drug Information Express,Drug R&D,Chemical Database,Patent Search.
Copyright © 2006-2026 Drug Future. All rights reserved.Contact Us