【药物名称】
化学结构式(Chemical Structure):
参考文献No.40783
标题:Antidiabetic agents
作者:Wood, H.B.; Jones, A.B.; Zhang, B.; Liu, K. (Merck & Co., Inc.)
来源:EP 1067925; US 6077849; WO 9951225
合成路线图解说明:

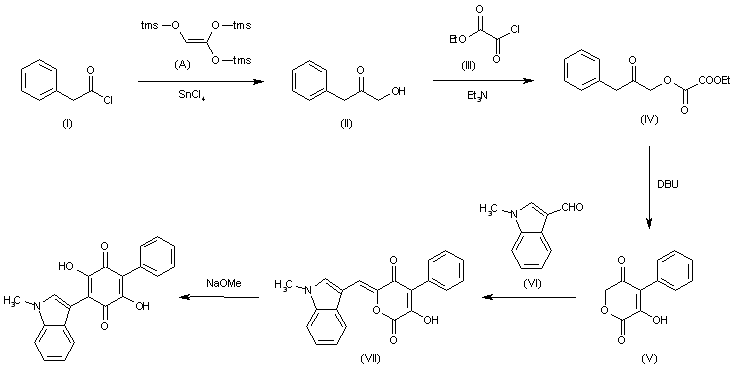
Treatment of phenylacetyl chloride (I) with tris(trimethylsilyloxy)ethylene (A) in the presence of SnCl4 affords 1-hydroxy-3-phenylpropan-2-one (II), which is then condensed with ethyl oxalyl chloride (III) in THF in the presence of Et3N to yield (IV). Phenylhexanoate derivative (IV) is cyclized by means of DBU in DMF to provide valerolactone derivative (V), which is then condensed with 1-methylindole-3-carboxaldehyde (VI) in HOAc to furnish derivative (VII). Finally, the target compound is obtained by treatment of (VII) with NaOMe in MeOH.

参考文献No.589266
标题:Discovery of a potent, highly selective, and orally efficacious small-molecule activator of the insulin receptor
作者:Liu, K.; Xu, L.; Szalkowski, D.; Li, Z.; Ding, V.; Kwei, G.; Huskey, S.E.; Moller, D.E.; Heck, J.V.; Zhang, B.B.; Jones, A.B.
来源:J Med Chem 2000,43(19),3487
合成路线图解说明:

Treatment of phenylacetyl chloride (I) with tris(trimethylsilyloxy)ethylene (A) in the presence of SnCl4 affords 1-hydroxy-3-phenylpropan-2-one (II), which is then condensed with ethyl oxalyl chloride (III) in THF in the presence of Et3N to yield (IV). Phenylhexanoate derivative (IV) is cyclized by means of DBU in DMF to provide valerolactone derivative (V), which is then condensed with 1-methylindole-3-carboxaldehyde (VI) in HOAc to furnish derivative (VII). Finally, the target compound is obtained by treatment of (VII) with NaOMe in MeOH.

Drug Information Express,Drug R&D,Chemical Database,Patent Search.
Copyright © 2006-2026 Drug Future. All rights reserved.Contact Us