【药物名称】GMC-1111
化学结构式(Chemical Structure):
参考文献No.45055
标题:New 2-aminothiazol-fused-2-aminoindans and 2-aminotetralins and their use
作者:Van Vliet, L.A.; Wikstr鰉, H.V.; Dukstra, D.; Gunne, L.; Carlsson, P.A.E.; Andr閚, P.E.
来源:WO 0001680
合成路线图解说明:

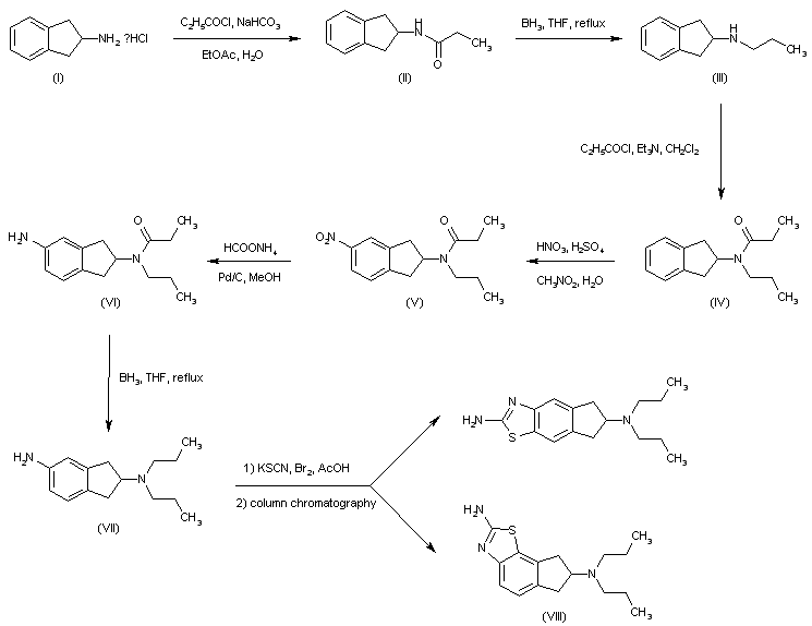
After acylation of 2-aminoindan (I) with propionyl chloride, the resulting propionamide (II) was reduced with borane to the amine (III). Further acylation of (III) with propionyl chloride furnished amide (IV). Nitration of (IV), followed by transfer hydrogenation of nitro derivative (V), gave rise to aniline (VI). Reduction of the amide function of (VI) with borane yielded diamine (VII). Subsequent reaction of aniline (VII) with thiocyanogen, generated from KSCN and Br2, provided the desired benzothiazole along with the regioisomeric analogue (VIII), which were separated by column chromatography.

参考文献No.589265
标题:Thiazoloindans and thiazolobenzopyrans: A novel class of orally active central dopamine (partial) agonists
作者:van Vliet, L.A.; Rodenhuis, N.; Wikstr鰉, H.; Pugsley, T.A.; Serpa, K.A.; Meltzer, L.T.; Heffner, T.G.; Wise, L.D.; Lajiness, M.E.; Huff, R.M.; Svensson, K.; Haenen, G.R.; Bast, A.
来源:J Med Chem 2000,43(19),3549
合成路线图解说明:

After acylation of 2-aminoindan (I) with propionyl chloride, the resulting propionamide (II) was reduced with borane to the amine (III). Further acylation of (III) with propionyl chloride furnished amide (IV). Nitration of (IV), followed by transfer hydrogenation of nitro derivative (V), gave rise to aniline (VI). Reduction of the amide function of (VI) with borane yielded diamine (VII). Subsequent reaction of aniline (VII) with thiocyanogen, generated from KSCN and Br2, provided the desired benzothiazole along with the regioisomeric analogue (VIII), which were separated by column chromatography.

Drug Information Express,Drug R&D,Chemical Database,Patent Search.
Copyright © 2006-2026 Drug Future. All rights reserved.Contact Us