【药物名称】
化学结构式(Chemical Structure):
参考文献No.40102
标题:Cyclic amine modulators of chemokine receptor activity
作者:Finke, P.E.; Mills, S.G.; Caldwell, C.G.; MacCoss, M.; Wang, L.; Kothandaraman, S.; Kim, D.; Oates, B. (Merck & Co., Inc.)
来源:EP 1052992; US 6140349; WO 9938514
合成路线图解说明:

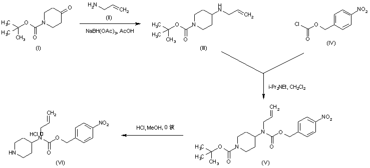
Reductive amination of N-Boc-4-piperidone (I) with allylamine (II) in the presence of sodium triacetoxyborohydride afforded aminopiperidine (III), which was acylated with 4-nitrobenzyl chloroformate (IV) to yield carbamate (V). Removal of the Boc group of (V) by means of a methanolic solution of HCl, prepared from acetyl chloride and MeOH, provided piperidine (VI).

合成路线图解说明:

Reductive amination of N-Boc-4-piperidone (I) with allyl amine (II) in the presence of sodium triacetoxyborohydride gave aminopiperidine (III), which was condensed with 4-nitrobenzyl chloroformate (IV) to afford carbamate (V). The Boc group of (V) was then cleaved by treatment with methanolic HCl to produce intermediate piperidine (VI). Alternatively, the condensation of 1-Boc-piperidine-4-amine (VII) with chloroformate (IV) gives carbamate (VIII), which is allylated with allyl chloride (IX) and NaH in THF, yielding the already reported carbamate (V).

合成路线图解说明:

Reductive amination of 2,5-dimethyl-2-phenylhex-4-enal (X) with methylamine and NaBH3 gives the expected secondary amine as a racemic mixture that is separated by means of mandelic acid, yielding the desired isomer (XI). The sulfonylation of the resulting amine (XI) with benzenesulfonyl chloride (XII) provided sulfonamide (XIII). Dihydroxylation with N-methylmorpholine-N-oxide in the presence of a catalytic amount of osmium tetroxide gave rise to diol (XIV), which was oxidatively cleaved to aldehyde (XV) by means of sodium periodate. Finally, reductive condensation between aldehyde (XV) and piperidine (VI) furnished the title compound.

参考文献No.589318
标题:Design, synthesis, and SAR of heterocycle-containing human CCR5 antagonists for the treatment of HIV-1 infection
作者:Kim, D.; Wang, L.; Caldwell, C.G.; et al.
来源:220th ACS Natl Meet (Aug 20 2000, Washington DC) 2000,Abst MEDI 84
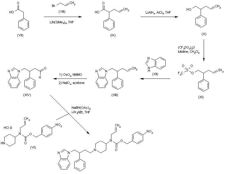
合成路线图解说明:

Alkylation of phenylacetic acid (VII) with allyl bromide (VIII) using lithium bis(trimethylsilyl)amide furnished 2-phenyl-4-pentenoic acid (IX). Reduction of the carboxylate group of (IX) by means of LiAlH4 and AlCl3 gave rise to alcohol (X), which was subsequently converted to triflate (XI). The triflate group of (XI) was then displaced with benzimidazole (XII) to produce adduct (XIII). Dihydroxylation of the double bond of (XIII) with N-methylmorpholine-N-oxide in the presence of OsO4, followed by oxidative cleavage with NaIO4, yielded aldehyde (XIV). Finally, aldehyde (XIV) was reductively condensed with piperidine (VI) in the presence of sodium triacetoxyborohydride.

Drug Information Express,Drug R&D,Chemical Database,Patent Search.
Copyright © 2006-2026 Drug Future. All rights reserved.Contact Us