【药物名称】
化学结构式(Chemical Structure):
参考文献No.46729
标题:Inhibitors of factor Xa with a neutral P1 specificity group
作者:Dominguez, C.; Fevig, J.M.; Galemmo, R.A. Jr.; Pinto, D.J.P.; Pruitt, J.R.; lma, P.; Quan, M.L.; Han, Q. (DuPont Pharmaceuticals Co.)
来源:US 5998424; WO 9857937
合成路线图解说明:

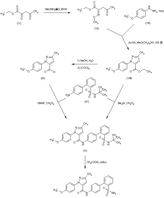
Ethyl 2,4-dioxopentanoate (V) was converted into the O-methyloxime (VI) and subsequently cyclized with 4-methoxyphenylhydrazine (VII) to furnish pyrazole (VIII) (1,2). Optionally, ester (VIII) was hydrolyzed and then converted to acid chloride (IX) by treatment with oxalyl chloride (1). Biphenylamine (IV) was coupled with ester (VIII) in the presence of trimethylaluminium (2) or, alternatively, with acid chloride (IX) (1) to give amide (X). The N-tert-butyl group of (X) was finally removed by refluxing in trifluoroacetic acid.

参考文献No.589317
标题:New functional groups for interaction with the S1 pocket of factor Xa: The discovery of 1-(4-methoxyphenyl)pyrazole inhibitors
作者:Galemmo, R.A. Jr.; Fevig, J.; Lam, P.Y.; et al.
来源:220th ACS Natl Meet (Aug 20 2000, Washington DC) 2000,Abst MEDI 290
合成路线图解说明:

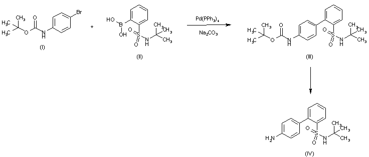
The intermediate biphenylamine (IV) was prepared by Suzuki coupling of N-Boc-4-bromoaniline (I) with 2-(N-tert-butylaminosulfonyl)phenylboronic acid (II), followed by deprotection of the Boc group.

合成路线图解说明:

Ethyl 2,4-dioxopentanoate (V) was converted into the O-methyloxime (VI) and subsequently cyclized with 4-methoxyphenylhydrazine (VII) to furnish pyrazole (VIII) (1,2). Optionally, ester (VIII) was hydrolyzed and then converted to acid chloride (IX) by treatment with oxalyl chloride (1). Biphenylamine (IV) was coupled with ester (VIII) in the presence of trimethylaluminium (2) or, alternatively, with acid chloride (IX) (1) to give amide (X). The N-tert-butyl group of (X) was finally removed by refluxing in trifluoroacetic acid.

Drug Information Express,Drug R&D,Chemical Database,Patent Search.
Copyright © 2006-2026 Drug Future. All rights reserved.Contact Us