【药物名称】BMS-208782
化学结构式(Chemical Structure):
参考文献No.44698
标题:Benzoic acid derivs. and related cpds. as antiarrhythmic agents
作者:Poss, M.A.; Lloyd, J.; Rovnyak, G.C.; Caulfield, T.J.; Atwal, K.S.; Stein, P.D.; Ahmad, S. (Bristol-Myers Squibb Co.)
来源:WO 9837068
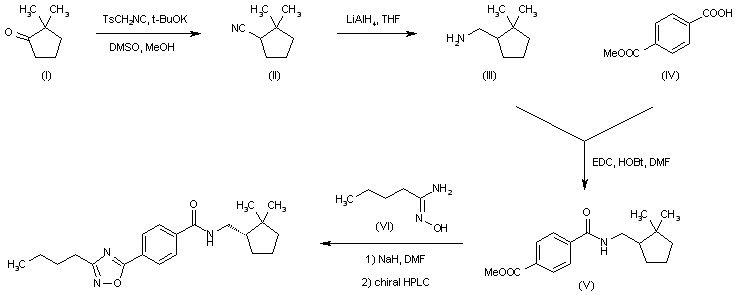
合成路线图解说明:

Treatment of 2,2-dimethylcyclopentanone (I) with tosylmethyl isocyanide and potassium tert-butoxide produced nitrile (II), which was reduced to amine (III) employing LiAlH4 in THF. Coupling of amine (III) with mono-methyl terephthalate (IV) by means of EDC and HOBt gave amide (V). The target oxadiazole system was then obtained by condensation of (V) with N-hydroxypentamidine (VI) in the presence of NaH, and the (S)-enantiomer was isolated by using chiral HPLC.

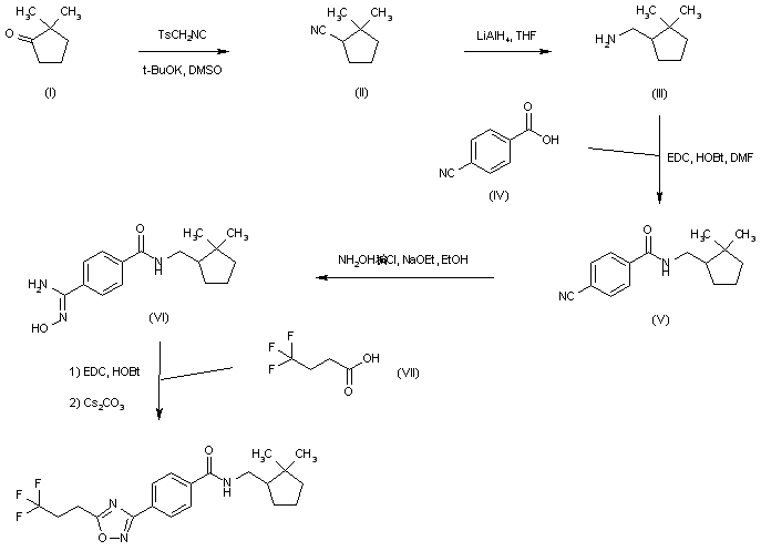
合成路线图解说明:

Amine (III) was synthesized from 2,2-dimethylcyclopentanone (I) by treatment with tosylmethyl isocyanide, followed by reduction of the resultant nitrile (II) with LiAlH4. Condensation of 4-cyanobenzoic acid (IV) with amine (III) produced the corresponding amide (V). Subsequent addition of hydroxylamine to the cyano group of (V) gave rise to the hydroxyamidine (VI). The target oxadiazole derivative was then obtained by condensation of (VI) with 4,4,4-trifluorobutyric acid (VII), followed by cyclization under basic conditions. Separation of the enantiomers was carried out by chiral preparative HPLC.

Drug Information Express,Drug R&D,Chemical Database,Patent Search.
Copyright © 2006-2026 Drug Future. All rights reserved.Contact Us