【药物名称】GW-4064, GW-4064X
化学结构式(Chemical Structure):
参考文献No.44602
标题:Assays for ligands for nuclear receptors
作者:Lehmann, J.; Stimmel, J.B.; Blanchard, S.G.; Kliewer, S.A.; Willson, T.M.; Parks, D.J. (Glaxo Group Ltd.)
来源:WO 0037077
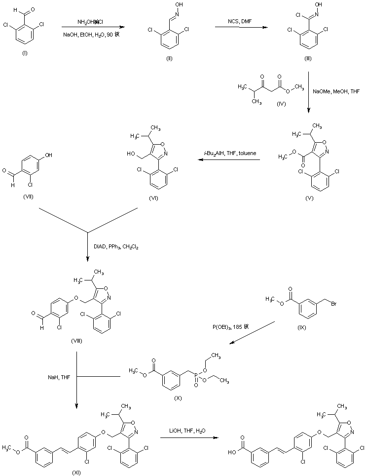
合成路线图解说明:

2,6-Dichlorobenzaldehyde (I) was converted to oxime (II) and then chlorinated with N-chlorosuccinimide to afford the oximidoyl chloride (III). The cycloaddition reaction between ketoester (IV) and the nitrile oxide resulting from (III) in the presence of NaOMe gave rise to the isoxazole system (V). The ester group of (V) was then reduced to alcohol (VI) employing diisobutylaluminium hydride. Subsequent coupling of alcohol (VI) with 2-chloro-4-hydroxybenzaldehyde (VII) under Mitsunobu conditions provided ether (VIII). Phosphonate (X) was prepared by heating methyl 3-(bromomethyl)benzoate (IX) with triethyl phosphite at 185 C. Horner-Emmons condensation of aldehyde (VIII) with phosphonate (X) in the presence of NaH in THF furnished the stilbene derivative (XI). The methyl ester group of (XI) was finally hydrolyzed by means of LiOH in aqueous THF.

Drug Information Express,Drug R&D,Chemical Database,Patent Search.
Copyright © 2006-2026 Drug Future. All rights reserved.Contact Us