【药物名称】LR-90
化学结构式(Chemical Structure):
参考文献No.41949
标题:Cyclic cpds. useful in the treatment of dyslipidaemia, atherosclerosis and diabetes, pharmaceutical compsns. and preparation process
作者:Zeiller, J.-J.; Rasp? E.; Guerrier, D.; Berthelon, J.-J. (Merck Patent GmbH)
来源:EP 1098893; FR 2781222; WO 0004011
合成路线图解说明:

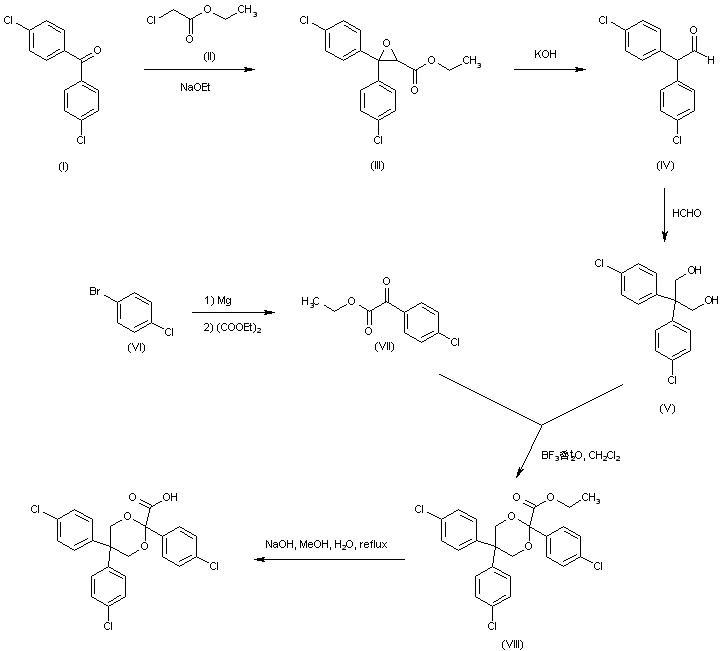
Darzen抯 condensation of 4,4'-dichlorobenzophenone (I) with ethyl chloroacetate (II) produced the glycidic ester (III), which was subsequently converted to aldehyde (IV) upon treatment with KOH. Diol (V) was then obtained by Tollens?reaction of aldehyde (IV) with formaldehyde. Ethyl 4-chlorophenylglyoxylate (VII) was prepared by addition of the Grignard reagent prepared from 1-bromo-4-chlorobenzene (VI) to diethyl oxalate. The condensation between diol (V) and keto ester (VII) in the presence of boron trifluoride furnished the cyclic ketal (VIII). Finally, saponification of the ethyl ester group gave rise to the target carboxylic acid.

参考文献No.598018
标题:ZD1839 (Iressa(TM)), an EGFR-TKI, and cisplatin have an additive effect on programmed cell death in human head and neck squamous carcinoma cells in vitro
作者:Al Hazaa, A.; et al.
来源:Clin Cancer Res 2000,6(Suppl.),Poster N?308
合成路线图解说明:

Darzen抯 condensation of 4,4'-dichlorobenzophenone (I) with ethyl chloroacetate (II) produced the glycidic ester (III), which was subsequently converted to aldehyde (IV) upon treatment with KOH. Diol (V) was then obtained by Tollens?reaction of aldehyde (IV) with formaldehyde. Ethyl 4-chlorophenylglyoxylate (VII) was prepared by addition of the Grignard reagent prepared from 1-bromo-4-chlorobenzene (VI) to diethyl oxalate. The condensation between diol (V) and keto ester (VII) in the presence of boron trifluoride furnished the cyclic ketal (VIII). Finally, saponification of the ethyl ester group gave rise to the target carboxylic acid.

Drug Information Express,Drug R&D,Chemical Database,Patent Search.
Copyright © 2006-2026 Drug Future. All rights reserved.Contact Us