【药物名称】UMJD-1369
化学结构式(Chemical Structure):
参考文献No.44322
标题:Pyrrolo[2,3-d]pyrimidines as antiviral agents
作者:Townsend, L.B.; Drach, J.C. (University of Michigan)
来源:WO 0042043
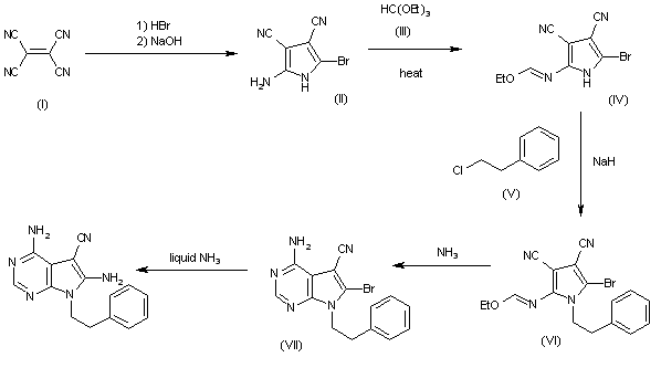
合成路线图解说明:

The reaction of tetracyanoethylene (I) with HBr, followed by a treatment with NaOH, gives 2-amino-5-bromo-1H-pyrrole-3,4-dicarbonitrile (II), which is treated with triethyl orthoformate (III) in refluxing acetonitrile to yield the ethoxymethyleneamino derivative (IV). The alkylation of (IV) with 2-phenylethyl chloride (V) by means of NaH affords the 2-bromo-5-(ethoxymethyleneamino)-1-(2-phenylethyl)pyrrole-3,4-dicarbonitrile (VI), which is cyclized with ammonia in methanol to provide the pyrrolo[2,3-d]pyrimidine derivative (VII). Finally, this compound is treated with liquid ammonia to obtain the target diaminopyrrolo[2,3-d]pyrimidine derivative.

Drug Information Express,Drug R&D,Chemical Database,Patent Search.
Copyright © 2006-2026 Drug Future. All rights reserved.Contact Us