【药物名称】ABT-866
化学结构式(Chemical Structure):
参考文献No.42240
标题:Imidazoles and related cpds. as alpha1A agonists
作者:Altenbach, R.J.; Holladay, M.W.; Carroll, W.A.; Meyer, M.D.; Kerwin, J.F. Jr.; Kolasa, T.; Rohde, J.; Khilevich, A. (Abbott Laboratories Inc.)
来源:WO 0007997
合成路线图解说明:

Reaction of methanesulfonamide derivative (I) with 4-iodo-N,N-dimethyl-1H-imidazole-1-sulfonamide (I) and EtMgBr in CH2Cl2 followed by heating with diluted HCl affords compound (III), which is debenzylated and reduced by hydrogenation over Pd/C in MeOH.

合成路线图解说明:

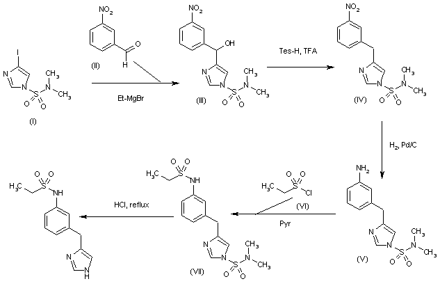
Treatment of 4-iodo-N,N-dimethyl-1H-imidazole-1-sulfonamide (I) with EtMgBr and 3-nitrobenzaldehyde (II) in CH2Cl2 yields derivative (III), whose nitro moiety is reduced by hydrogenation over Pd/C in EtOAc to afford aminophenyl derivative (IV). Treatment of (IV) with Et3SiH in TFA provides aminobenzyl derivative (V), which is finally converted into the desired compound by treatment with pyridine and ethanesulfonyl chloride (VI) followed by reflux in HCl.

参考文献No.693488
标题:N-[3-(1H-Imidazol-4-ylmethyl)phenyl]ethanesulfonamide (ABT-866, 1),(1) a novel alpha1-adrenoceptor ligand with an enhanced in vitro and in vivo profile relative to phenylpropanolamine and midodrine
作者:Altenbach, R.J.; Khilevich, A.; Meyer, M.D.; Buckner, S.A.; Milicic, I.; Daza, A.V.; Brune, M.E.; O'Neill, A.B.; Gauvin, D.M.; Cain, J.C.; Nakane, M.; Holladay, M.W.; Williams, M.; Brioni, J.D.; Sullivan, J.P.
来源:J Med Chem 2002,45(20),4395
合成路线图解说明:

The condensation of 4-iodo-N,N-dimethyl-1H-imidazole-1-sulfonamide (I) with 3-nitrobenzaldehyde (II) by means of Et-MgBr in dichloromethane gives the carbinol (III), which is reduced with triethylsilane in refluxing TFA to yield 4-(3-nitrobenzyl)-N,N-dimethyl-1H-imidazole-1-sulfonamide (IV). The reduction of the nitro group of (IV) by means of H2 over Pd/C in ethyl acetate affords the amino derivative (V), which is acylated with ethanesulfonyl chloride (VI) and pyridine in dichloromethane to give the ethanesulfonamide (VII). Finally, this compound is treated with aqueous refluxing HCl to yield the target compound.

Drug Information Express,Drug R&D,Chemical Database,Patent Search.
Copyright © 2006-2026 Drug Future. All rights reserved.Contact Us