【药物名称】Ro-25-9022
化学结构式(Chemical Structure):
参考文献No.26984
标题:Vitamin D3 analogs
作者:Doran, T.I.; Hennessy, B.M.; McLane, J.A.; Pizzolato, G.; Sedarati, F.; Uskokovic, M.R. (F. Hoffmann-La Roche AG)
来源:EP 0654467; JP 1995188159; US 5428029
合成路线图解说明:

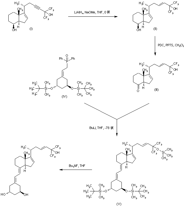
Reduction of the triple bond of compound (I) with LiAlH4 in the presence of NaOMe furnished the E-olefin (II). The secondary alcohol group of (II) was then oxidized to the corresponding ketone (III) by means of pyridinium dichromate in the presence of pyridinium p-toluenesulfonate. Condensation of this ketone with the ylide resulting from phosphine oxide (IV) and n-BuLi produced the silylated cholecalciferol analogue (V). The silyl protecting groups of (V) were finally removed by treatment with tetrabutylammonium fluoride.

Drug Information Express,Drug R&D,Chemical Database,Patent Search.
Copyright © 2006-2026 Drug Future. All rights reserved.Contact Us