【药物名称】L-015
化学结构式(Chemical Structure):
参考文献No.41505
标题:Retinoids, methods for their production and use
作者:Zhi, L.; Farmer, L.J. (Ligand Pharmaceuticals, Inc.)
来源:US 6005007
合成路线图解说明:

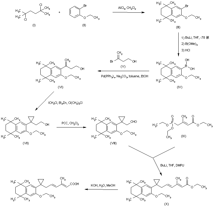
The tetrahydronaphthalene derivative (III) was prepared by condensation of 1-bromo-2-ethoxybenzene (II) with 2,5-dichloro-2,5-dimethylhexane (I) in the presence of AlCl3. Lithium-bromine exchange in (III), followed by treatment with trimethyl borate and acid quenching, provided boronic acid (IV). This was subjected to palladium-catalyzed coupling with 3-bromo-3-buten-1-ol (V) to afford the homoallylic alcohol (VI). A Simmons-Smith reaction of (VI) with chloroiodomethane and diethylzinc furnished the cyclopropyl alcohol (VII), which was further oxidized to aldehyde (VIII) employing PCC. Horner-Emmons condensation of aldehyde (VIII) with phosphonate (IX) gave rise to the dienoate ester (X). Finally, basic hydrolysis of the ester function of (X) yielded the corresponding carboxylic acid.

Drug Information Express,Drug R&D,Chemical Database,Patent Search.
Copyright © 2006-2026 Drug Future. All rights reserved.Contact Us