【药物名称】PD-0210293
化学结构式(Chemical Structure):
参考文献No.589007
标题:Structure-activity relationship of 2-amino-3-heteroaryl-quinoxalines as potent, non-peptide interleukine-8-receptor antagonists
作者:Li, J.J.; Yue, W.-S.; Trivedi, B.K.; et al.
来源:220th ACS Natl Meet (Aug 20 2000, Washington DC) 2000,Abst MEDI 144
合成路线图解说明:

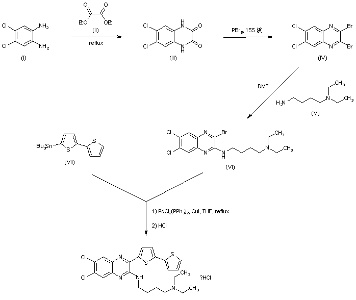
The condensation of 4,5-dichloro-1,2-phenylenediamine (I) with diethyl oxalate (II) produced quinoxalinedione (III), which was brominated with PBr5 at 155 C to afford the dibromo derivative (IV). Displacement of one bromine group of (IV) with 4-(diethylamino)butylamine (V) furnished (VI). The remaining bromine of (VI) was then displaced with 5-(tributylstannyl)-2,2'-bithienyl (VII) to produce the title compound, isolated as the corresponding hydrochloride salt.

合成路线图解说明:

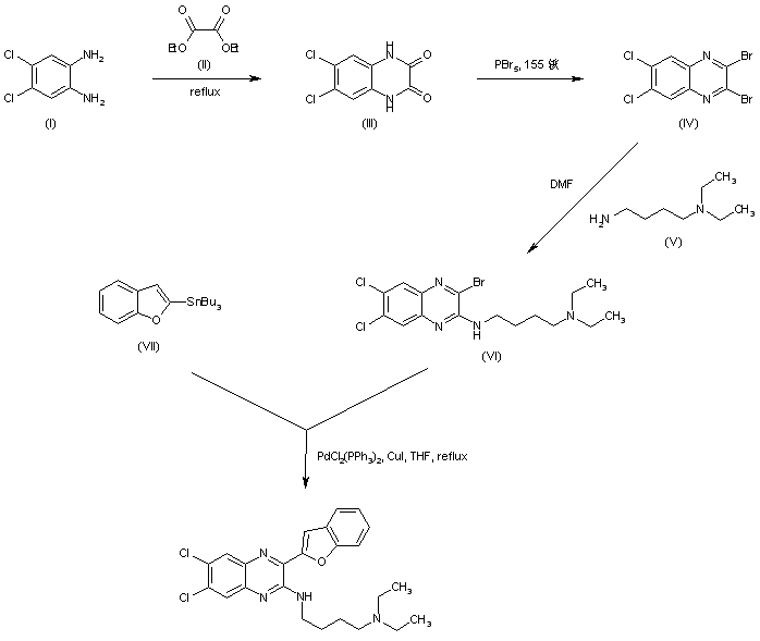
The condensation of 4,5-dichloro-1,2-phenylenediamine (I) with diethyl oxalate (II) produced quinoxalinedione (III), which was brominated with PBr5 at 155 C to afford the dibromo derivative (IV). Displacement of one bromine group of (IV) with 4-(diethylamino)butylamine (V) furnished (VI). The remaining bromine of (VI) was then displaced with 2-(tributylstannyl)benzofuran (VII) to produce the title compound.

Drug Information Express,Drug R&D,Chemical Database,Patent Search.
Copyright © 2006-2026 Drug Future. All rights reserved.Contact Us