【药物名称】A-316023
化学结构式(Chemical Structure):
参考文献No.588740
标题:Development of a series of sulfone retrohydroxamates for the inhibition of matrix metalloproteinases
作者:Davidsen, S.K.; Michalides, M.; Stacey, J.R.; et al.
来源:220th ACS Natl Meet (Aug 20 2000, Washington DC) 2000,Abst MEDI 54
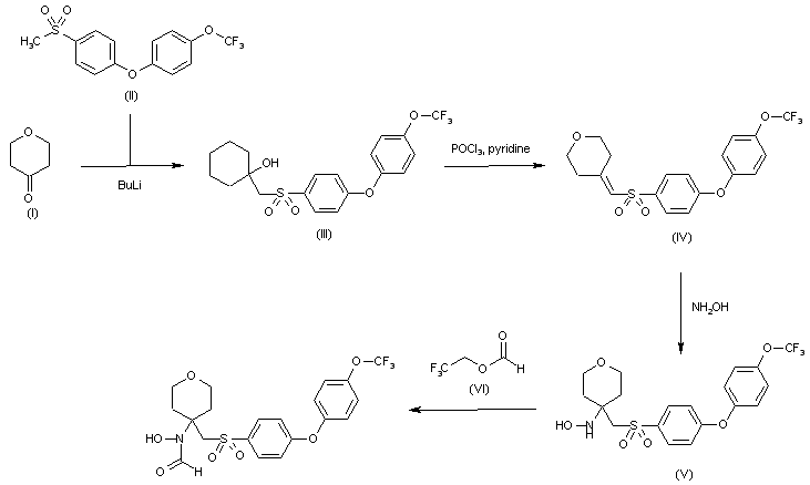
合成路线图解说明:

Alkylation of ketone (I) with sulfone (II) by means of BuLi yields derivative (III), which is then treated with POCl3 and pyridine to afford compound (IV). Reaction of (IV) with aqueous hydroxylamine (NH2OH) in THF provides derivative (V), which is finally treated with (VI) in THF to furnish the desired compound.

Drug Information Express,Drug R&D,Chemical Database,Patent Search.
Copyright © 2006-2026 Drug Future. All rights reserved.Contact Us