【药物名称】IL-488
化学结构式(Chemical Structure):
参考文献No.40094
标题:Azolo triazines and pyrimidines
作者:He, L.; Arvanitis, A.G.; Chorvat, R.; Gilligan, P. (DuPont Pharmaceuticals Co.)
来源:EP 1049699; WO 9938868
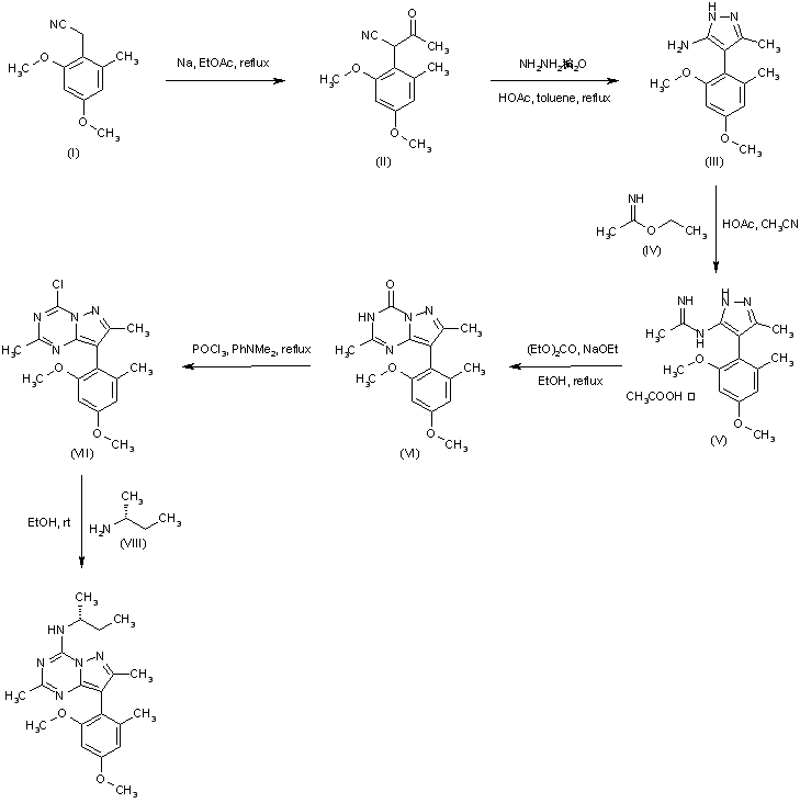
合成路线图解说明:

The condensation of 2,4-dimethoxy-6-methylphenylacetonitrile (I) with ethyl acetate in the presence of Na metal produced keto nitrile (II). This was cyclized to the amino pyrazole (III) upon treatment with hydrazine and HOAc in refluxing toluene. Subsequent condensation of amino pyrazole (III) with ethyl acetimidate (IV) gave amidine (V), which was converted to the required pyrazolo triazinone (VI) by reaction with diethyl carbonate and NaOEt. Chlorination of (VI) with POCl3 in the presence of N,N-dimethylaniline produced the chloro derivative (VII). This was finally condensed with amine (VIII) to furnish the title compound.

Drug Information Express,Drug R&D,Chemical Database,Patent Search.
Copyright © 2006-2026 Drug Future. All rights reserved.Contact Us