【药物名称】Oxeglitazar, EMD-336340, LM-4156
化学结构式(Chemical Structure):
参考文献No.44124
标题:Benzopyrans and benzoxepines, pharmaceutical compsns. comprising them and preparation process
作者:Guerrier, D.; Brunet, M.; Augert, G.; Zeiller, J.J.; Berthelon, J.J.; Contard, F. (Merck Patent GmbH)
来源:EP 1140893; FR 2787789; JP 2003517449; US 6596758; WO 0039113
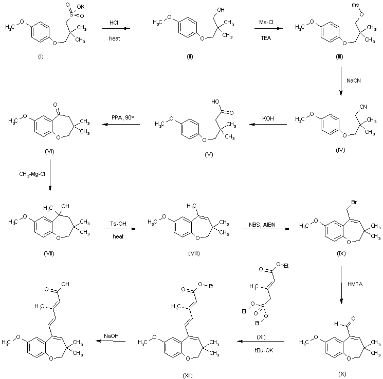
合成路线图解说明:

The hydrolysis of potassium 3-(4-methoxyphenoxy)-2,2-dimethylpropanesulfonate (I) with HCl in refluxing water gives 3-(4-methoxyphenoxy)-2,2-dimethylpropan-1-ol (II), which is treated with MsCl and TEA in toluene to yield the corresponding mesylate (III). The reaction of (III) with NaCN in hot DMSO affords the butyronitrile derivative (IV), which is hydrolyzed with KOH in hot ethyleneglycol to provide the butyric acid derivative (V). The cyclization of (V) by means of polyphosphoric acid in hot toluene gives 7-methoxy-3,3-dimethyl-2,3,4,5-tetrahydrobenzoxepin-5-one (VI), which is treated with methylmagnesium chloride in THF to yield the tertiary alcohol (VII). The dehydration of (VII) by means of TsOH in refluxing toluene affords 7-methoxy-3,3,5-trimethyl-2,3-dihydrobenzoxepine (VIII), which is brominated by means of NBS and AIBN in refluxing CCl4 to provide the bromomethyl derivative (IX). The oxidation of (IX) by means of hexamethylenetetramine (HMTA) in refluxing chloroform gives the carbaldehyde (X), which is condensed with the phosphonate (XI) by means of t-BuOK in THF to yield the pentadienoic ester (XII). Finally this ester is hydrolyzed with NaOH in methanol/water to provide the target pentadienoic acid.

Drug Information Express,Drug R&D,Chemical Database,Patent Search.
Copyright © 2006-2026 Drug Future. All rights reserved.Contact Us