【药物名称】T-0902611, T-611, T-902611
化学结构式(Chemical Structure):
参考文献No.50251
标题:Arylsulfonic acid salts of pyrimidine-based antiviral agents
作者:Powers, J.P. (Tularik Inc.)
来源:US 6410726; WO 0151485
合成路线图解说明:

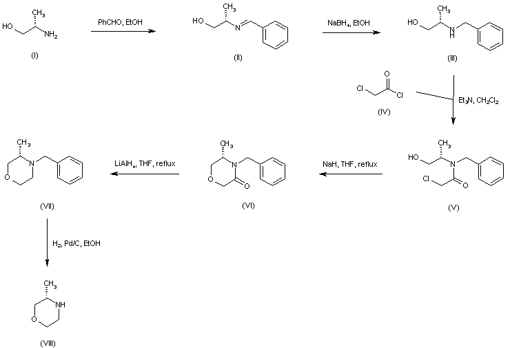
Condensation of L-alaninol (I) with benzaldehyde produced imine (II), which was further reduced to the N-benzyl amine (III) by means of NaBH4. Subsequent acylation of N-benzyl alaninol (III) with chloroacetyl chloride (IV) provided the chloroacetamide (V). This was subjected to intramolecular cyclization in the presence of NaH to afford morpholinone (VI). Lactam (VI) reduction employing LiAlH4 furnished the substituted morpholine (VII). The N-benzyl group of (VII) was then removed by hydrogenation in the presence of Pd/C, yielding (S)-3-methylmorpholine (VIII).

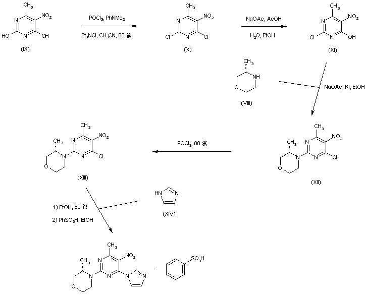
合成路线图解说明:

The dihydroxypyrimidine (IX) was converted to the 2-chloro derivative (XI) by chlorination with phosphoryl chloride and N,N-dimethylaniline, followed by treatment of the resultant dichloropyrimidine (X) with NaOAc/HOAc in aqueous EtOH. Nucleophilic displacement in chloropyrimidine (XI) with (S)-3-methylmorpholine (VIII) furnished adduct (XII). Subsequent chlorination of (XII) in hot POCl3 gave rise to the chloropyrimidine (XIII). This was then displaced with imidazole (XIV) to produce the target imidazolyl pyrimidine, which was isolated as the benzenesulfonate salt.

Drug Information Express,Drug R&D,Chemical Database,Patent Search.
Copyright © 2006-2026 Drug Future. All rights reserved.Contact Us