【药物名称】
化学结构式(Chemical Structure):
参考文献No.588401
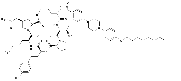
标题:Total synthesis and antifungal evaluation of cyclic aminohexapeptides
作者:Klein, L.L.; Li, L.; Chen, H.-J.; Curty, C.B..; DeGoey, D.A.; Grampovnik, D.J.; Leone, C.L.; Thomas, S.A.; Yeung, C.M.; Funk, K.W.; Kishore, V.; Lundell, E.O.; Wodka, D.; Meulbroek, J.A.; Alder, J.D.; Nilius, A.M.; Lartey, P.A.; Plattner, J.J.
来源:Bioorg Med Chem Lett 2000,8(7),1677
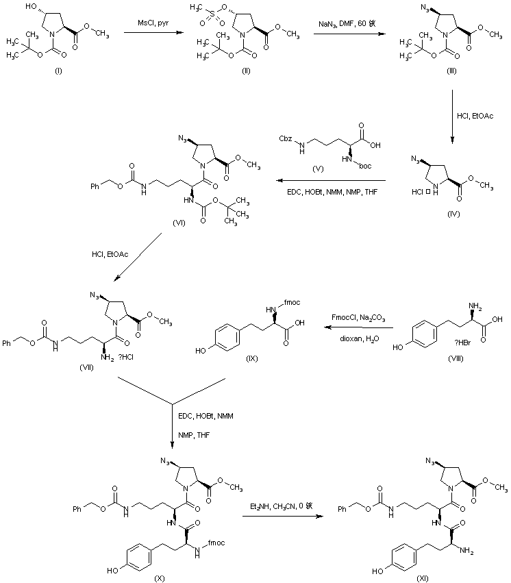
合成路线图解说明:

The title compound was constructed from two tripeptide fragments. Preparation of tripeptide (XI) is shown in Scheme 29208701a. Boc-Hydroxyproline methyl ester (I) was converted to the corresponding mesylate (II), which was displaced with NaN3 in DMF to afford azide (III). Subsequent acid deprotection of the Boc group of (III) yielded 4-azidoproline methyl ester (IV). This was coupled with the protected ornithine (V) using EDC and HOBt to furnish dipeptide (VI). Further cleavage of the Boc group of (VI) using HCl in EtOAc provided (VII). After protection of homotyrosine (VIII) as the Fmoc derivative (IX), coupling with dipeptide (VII) yielded the protected tripeptide (X). The Fmoc group of (X) was then removed by treatment with diethylamine in acetonitrile, yielding tripeptide intermediate (XI).

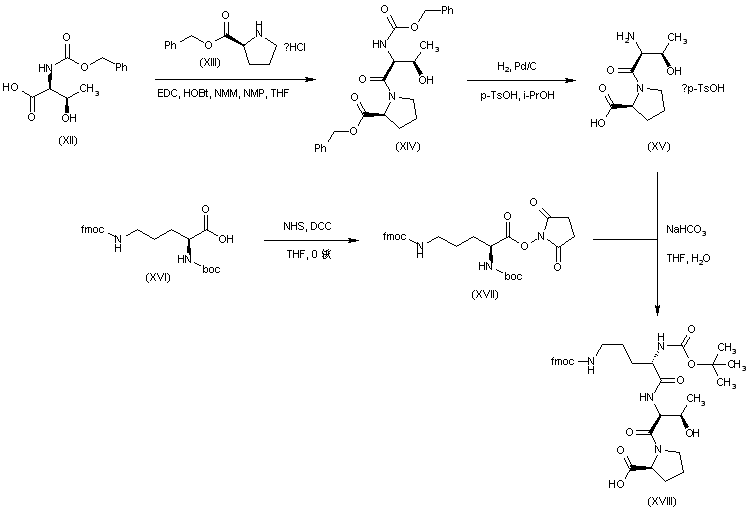
合成路线图解说明:

For the preparation of tripeptide intermediate (XVIII), N-Cbz-threonine (XII) was coupled with proline benzyl ester (XIII) to give dipeptide (XIV). Subsequent hydrogenolysis of the benzyl groups of (XIV) in the presence of Pd/C furnished threonyl proline (XV). Coupling of (XV) with the succinimidyl ester (XVII) prepared from the protected ornithine (XVI) then provided tripeptide intermediate (XVIII).

合成路线图解说明:

EEDQ-mediated coupling between tripeptides (XI) and (XVIII) furnished the linear hexapeptide (XIX). After deprotection of (XIX) with NaOH, cyclization using DPPA produced the cyclic peptide (XX). The Boc protecting group of (XX) was then removed by means of trifluoroacetic acid, and the resulting amine was acylated with the trichlorophenyl active ester (XXI) to give amide (XXII).

合成路线图解说明:

The azido group of (XXII) was reduced to amine (XXIII) by treatment with triphenylphosphine in aqueous THF. Guanidylation of the amino group of (XXII) by means of N,N'-bis-(tert-butoxycarbonyl)thiourea, followed by Boc group cleavage with trifluoroacetic acid, generated the required guanidino substituent. Finally, the carbobenzoxy group was removed by hydrogenolysis over Pd(OH)2 to afford the title compound.

Drug Information Express,Drug R&D,Chemical Database,Patent Search.
Copyright © 2006-2026 Drug Future. All rights reserved.Contact Us