【药物名称】SPD-756, BCH-13520
化学结构式(Chemical Structure):
参考文献No.44207
标题:Antiviral nucleoside analogues
作者:Nguyen-Ba, N. (Shire BioChem Inc.)
来源:EP 1140937; JP 2002533470; US 6358963; WO 0039143
合成路线图解说明:

Ketal exchange between the chiral acetonide (I) and 2-(benzoyloxy)acetaldehyde (II) under acidic conditions affords the 2-(benzoyloxymethyl) dioxolane (III) as a diastereomeric mixture. Alternatively, diazotization of D-serine (IV) in the presence of NaNO2 and H2SO4 produces D-glyceric acid (V), which is further esterified with methanol to afford the methyl ester (VI). Condensation of dihydroxy ester (VI) with 2-(benzoyloxy)acetaldehyde dimethyl acetal (VII) then gives dioxolane (III).

合成路线图解说明:

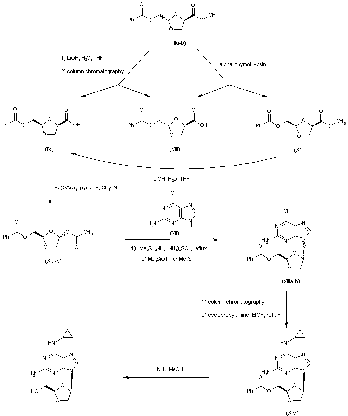
Selective hydrolysis of the methyl esters (III) with LiOH provides the desired cis-dioxolane acid (IX) and the corresponding trans isomer (VIII), which are separated by column chromatography. Alternatively, ester (III) is subjected to enzymatic resolution with several different enzymes to provide a mixture of the undesired trans-dioxolane acid (VIII) and the unreacted cis-ester (X), separable by partition between H2O and EtOAc. The desired cis-ester (X) is then hydrolyzed with LiOH to the carboxylic acid (IX). Oxidative decarboxylation of acid (IX) employing lead tetraacetate furnishes the acetoxy dioxolane (XI). After silylation of 2-amino-6-chloropurine (XII) with hexamethyldisilazane in the presence of ammonium sulfate, coupling with the acetoxy dioxolane (XI), promoted by either trimethylsilyl triflate or by iodotrimethylsilane, gives rise to an anomeric mixture of adducts (XIII). Following chromatographic isolation of the target cis-anomer, chloride displacement with cyclopropylamine yields the diamino purine derivative (XIV). The benzoate ester group of (XIV) is finally hydrolyzed to the title compound by means of methanolic ammonia.

参考文献No.55971
标题:Stereoselective synthesis of nucleoside analogues
作者:Cimpoia, A.; Janes, L.; Kazlauskas, R. (Shire BioChem Inc.)
来源:WO 0047759
合成路线图解说明:

Ketal exchange between the chiral acetonide (I) and 2-(benzoyloxy)acetaldehyde (II) under acidic conditions affords the 2-(benzoyloxymethyl) dioxolane (III) as a diastereomeric mixture. Alternatively, diazotization of D-serine (IV) in the presence of NaNO2 and H2SO4 produces D-glyceric acid (V), which is further esterified with methanol to afford the methyl ester (VI). Condensation of dihydroxy ester (VI) with 2-(benzoyloxy)acetaldehyde dimethyl acetal (VII) then gives dioxolane (III).

合成路线图解说明:

Selective hydrolysis of the methyl esters (III) with LiOH provides the desired cis-dioxolane acid (IX) and the corresponding trans isomer (VIII), which are separated by column chromatography. Alternatively, ester (III) is subjected to enzymatic resolution with several different enzymes to provide a mixture of the undesired trans-dioxolane acid (VIII) and the unreacted cis-ester (X), separable by partition between H2O and EtOAc. The desired cis-ester (X) is then hydrolyzed with LiOH to the carboxylic acid (IX). Oxidative decarboxylation of acid (IX) employing lead tetraacetate furnishes the acetoxy dioxolane (XI). After silylation of 2-amino-6-chloropurine (XII) with hexamethyldisilazane in the presence of ammonium sulfate, coupling with the acetoxy dioxolane (XI), promoted by either trimethylsilyl triflate or by iodotrimethylsilane, gives rise to an anomeric mixture of adducts (XIII). Following chromatographic isolation of the target cis-anomer, chloride displacement with cyclopropylamine yields the diamino purine derivative (XIV). The benzoate ester group of (XIV) is finally hydrolyzed to the title compound by means of methanolic ammonia.

参考文献No.55972
标题:Stereoselective synthesis of nucleoside analogues
作者:Cimpoia, A.; Wang, Y.-F. (Shire BioChem Inc.)
来源:WO 0158894
合成路线图解说明:

Ketal exchange between the chiral acetonide (I) and 2-(benzoyloxy)acetaldehyde (II) under acidic conditions affords the 2-(benzoyloxymethyl) dioxolane (III) as a diastereomeric mixture. Alternatively, diazotization of D-serine (IV) in the presence of NaNO2 and H2SO4 produces D-glyceric acid (V), which is further esterified with methanol to afford the methyl ester (VI). Condensation of dihydroxy ester (VI) with 2-(benzoyloxy)acetaldehyde dimethyl acetal (VII) then gives dioxolane (III).

合成路线图解说明:

Selective hydrolysis of the methyl esters (III) with LiOH provides the desired cis-dioxolane acid (IX) and the corresponding trans isomer (VIII), which are separated by column chromatography. Alternatively, ester (III) is subjected to enzymatic resolution with several different enzymes to provide a mixture of the undesired trans-dioxolane acid (VIII) and the unreacted cis-ester (X), separable by partition between H2O and EtOAc. The desired cis-ester (X) is then hydrolyzed with LiOH to the carboxylic acid (IX). Oxidative decarboxylation of acid (IX) employing lead tetraacetate furnishes the acetoxy dioxolane (XI). After silylation of 2-amino-6-chloropurine (XII) with hexamethyldisilazane in the presence of ammonium sulfate, coupling with the acetoxy dioxolane (XI), promoted by either trimethylsilyl triflate or by iodotrimethylsilane, gives rise to an anomeric mixture of adducts (XIII). Following chromatographic isolation of the target cis-anomer, chloride displacement with cyclopropylamine yields the diamino purine derivative (XIV). The benzoate ester group of (XIV) is finally hydrolyzed to the title compound by means of methanolic ammonia.

Drug Information Express,Drug R&D,Chemical Database,Patent Search.
Copyright © 2006-2026 Drug Future. All rights reserved.Contact Us