【药物名称】
化学结构式(Chemical Structure):
参考文献No.36673
标题:Antiviral peptide derivs.
作者:Attwood, M.R.; Hurst, D.N.; Jones, P.S.; Kay, P.B.; Raynham, T.M.; Wilson, F.X. (F. Hoffmann-La Roche AG)
来源:JP 2000508344; WO 9822496
合成路线图解说明:

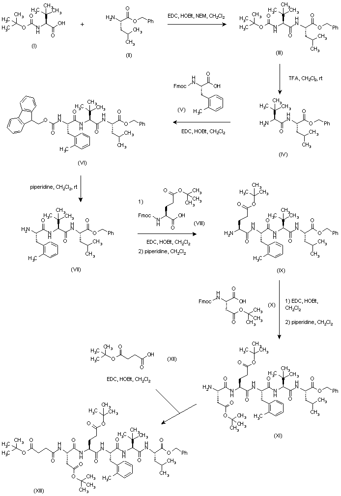
Coupling of N-(Boc)-3-methyl-L-valine (I) with L-leucine benzyl ester (II) using 1-(3-dimethylaminopropyl)-3-ethylcarbodiimide-HCl (EDC) and 1-hydroxybenzotriazole (HOBt) in the presence of N-ethylmorpholine gave the N-Boc-dipeptide (III), which was deprotected with trifluoroacetic acid in CH2Cl2 to afford (IV). Subsequent coupling of (IV) with N-Fmoc-2-methyl-L-phenylalanine (V) mediated by EDC and HOBt provided the N-Fmoc-tripeptide (VI). Deprotection of the fluorenylmethoxycarbonyl group of (VI) was effected with piperidine in CH2Cl2 to yield (VII). Further coupling and deprotection cycles with N-Fmoc-O-tert-butyl-L-glutamic acid (VIII) and then with N-Fmoc-O-tert-butyl-L-aspartic acid (X) provided peptides (IX) and (XI), respectively. This latter was then coupled to mono-tert--butyl succinate (XII) to furnish (XIII).

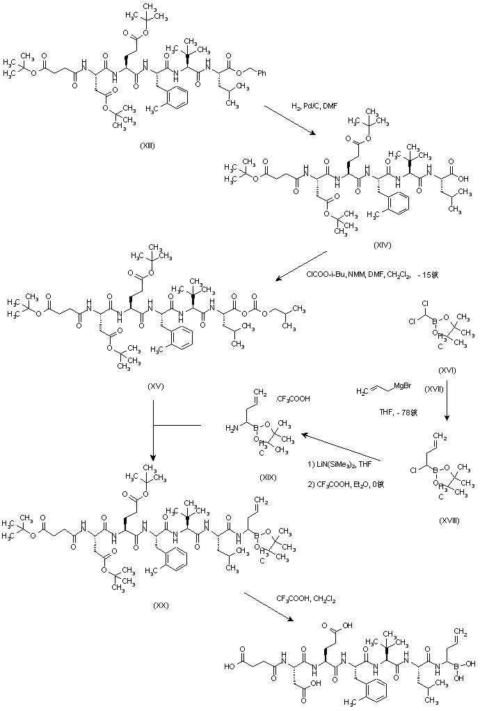
合成路线图解说明:

Hydrogenolysis of the benzyl ester of (XIII) over Pd/C gave peptide acid (XIV), which was converted to the mixed anhydride (XV) using isobutyl chloroformate and N-methylmorpholine. (Aminobutenyl)- dioxaborolane (XIX) was obtained by treatment of the (dichloromethyl)dioxaborolane (XVI) with allylmagnesium bromide (XVII), and subsequent displacement of the remaining chlorine atom with lithium bis(trimethylsilyl)amide. Condensation of anhydride (XV) with racemic aminoborolane (XIX) produced (XX) as a diastereomeric mixture. Finally, removal of the tert-butyl esters and hydrolysis of the dioxaborolane to the target boronic acid was effected with trifluoroacetic acid in CH2Cl2.

合成路线图解说明:

Coupling of N-(Boc)-3-methyl-L-valine (I) with L-leucine benzyl ester (II) using 1-(3-dimethylaminopropyl)-3-ethylcarbodiimide-HCl (EDC) and 1-hydroxybenzotriazole (HOBt) in the presence of N-ethylmorpholine gave the N-Boc-dipeptide (III), which was deprotected with trifluoroacetic acid in CH2Cl2 to afford (IV). Subsequent coupling of (IV) with N-Fmoc-2-methyl-L-phenylalanine (V) mediated by EDC and HOBt provided the N-Fmoc-tripeptide (VI). Deprotection of the fluorenylmethoxycarbonyl group of (VI) was effected with piperidine in CH2Cl2 to yield (VII). Further coupling and deprotection cycles with N-Fmoc-O-tert-butyl-L-glutamic acid (VIII) and then with N-Fmoc-O-tert-butyl-L-aspartic acid (X) provided peptides (IX) and (XI), respectively. This latter was then coupled to mono-tert--butyl succinate (XII) to furnish (XIII).

合成路线图解说明:

Hydrogenolysis of the benzyl ester of (XIII) over Pd/C gave peptide acid (XIV), which was converted to the mixed anhydride (XV) using isobutyl chloroformate and N-methylmorpholine. (Aminopropyl)- dioxaborolane (XIX) was obtained by treatment of the (dichloromethyl)dioxaborolane (XVI) with ethylmagnesium bromide (XVII), and subsequent displacement of the remaining chlorine atom with lithium bis(trimethylsilyl)amide. Condensation of anhydride (XV) with racemic aminoborolane (XIX) produced (XX) as a diastereomeric mixture. Finally, removal of the tert-butyl esters and hydrolysis of the dioxaborolane to the target boronic acid was effected with trifluoroacetic acid in CH2Cl2.

合成路线图解说明:

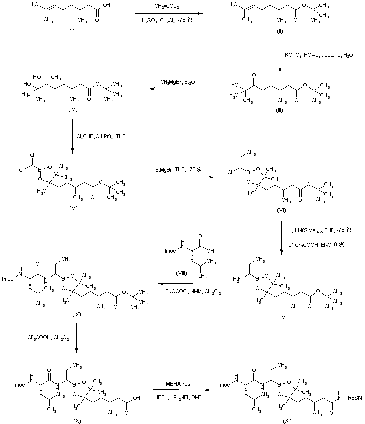
The title compound was prepared by solid phase peptide synthesis. The dioxoborolane-linked resin (XI) was obtained as shown in Scheme 1. 3,7-Dimethyl-6-octenoic acid (I) was protected as the tert-butyl ester (II) by treatment with isobutylene and sulfuric acid, and subsequently oxidized with KMnO4 to afford the hydroxy ketone (III). Addition of methylmagnesium bromide to the keto group of (III) provided diol (IV), which upon reaction with dichloromethyl diisopropoxyborane furnished dioxaborolane (V). Displacement of one chlorine group of (V) with ethylmagnesium bromide at -78 C gave rise to the chloropropyl dioxaborolane (VI). The remaining chlorine atom of (VI) was displaced with lithium bis(trimethylsilyl)amide to yield, after acid desilylation, amine (VII). This was coupled with N-Fmoc-L-leucine (VIII) via the mixed anhydride with isobutyl chloroformate to give amide (IX). After cleavage of the tert-butyl ester of (IX) with trifluoroacetic acid, the resulting carboxylic acid (X) was coupled to the 4-methylbenzhydrylamine resin by means of 2-benzotriazolyl-1,1,3,3-tetramethyluronium hexafluorophosphate (HBTU), yielding resin (XI).

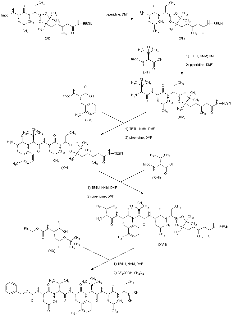
合成路线图解说明:

The Fmoc protecting group of resin (XI) was removed by treatment with piperidine in DMF to give (XII). This was subsequently coupled with N-Fmoc-3-methyl-L-valine (XIII) to provide, after Fmoc deprotection with piperidine, the dipeptide resin (XIV). Further coupling and deprotection cycles with N-Fmoc-3-(2-methylphenyl)-L-alanine (XV) and N-Fmoc-D-valine (XVII) yielded resins (XVI) and (XVIII), respectively. Resin (XVIII) was then coupled with N-(benzyloxycarbonyl)-L-aspartic acid beta-tert-butyl ester (XIX), and the title compound was finally deprotected and liberated from the resin by means of trifluoroacetic acid in CH2Cl2.

参考文献No.588393
标题:Solid phase synthesis of aminoboronic acids: Potent inhibitors of the hepatitis C virus NS3 proteinase
作者:Dunsdon, R.M.; Greening, J.R.; Jones, P.S.; Jordan, S.; Wilson, F.X.
来源:Bioorg Med Chem Lett 2000,10(14),1577
合成路线图解说明:

The title compound was prepared by solid phase peptide synthesis. The dioxoborolane-linked resin (XI) was obtained as shown in Scheme 1. 3,7-Dimethyl-6-octenoic acid (I) was protected as the tert-butyl ester (II) by treatment with isobutylene and sulfuric acid, and subsequently oxidized with KMnO4 to afford the hydroxy ketone (III). Addition of methylmagnesium bromide to the keto group of (III) provided diol (IV), which upon reaction with dichloromethyl diisopropoxyborane furnished dioxaborolane (V). Displacement of one chlorine group of (V) with ethylmagnesium bromide at -78 C gave rise to the chloropropyl dioxaborolane (VI). The remaining chlorine atom of (VI) was displaced with lithium bis(trimethylsilyl)amide to yield, after acid desilylation, amine (VII). This was coupled with N-Fmoc-L-leucine (VIII) via the mixed anhydride with isobutyl chloroformate to give amide (IX). After cleavage of the tert-butyl ester of (IX) with trifluoroacetic acid, the resulting carboxylic acid (X) was coupled to the 4-methylbenzhydrylamine resin by means of 2-benzotriazolyl-1,1,3,3-tetramethyluronium hexafluorophosphate (HBTU), yielding resin (XI).

合成路线图解说明:

The Fmoc protecting group of resin (XI) was removed by treatment with piperidine in DMF to give (XII). This was subsequently coupled with N-Fmoc-3-methyl-L-valine (XIII) to provide, after Fmoc deprotection with piperidine, the dipeptide resin (XIV). Further coupling and deprotection cycles with N-Fmoc-3-(2-methylphenyl)-L-alanine (XV) and N-Fmoc-D-valine (XVII) yielded resins (XVI) and (XVIII), respectively. Resin (XVIII) was then coupled with N-(benzyloxycarbonyl)-L-aspartic acid beta-tert-butyl ester (XIX), and the title compound was finally deprotected and liberated from the resin by means of trifluoroacetic acid in CH2Cl2.

Drug Information Express,Drug R&D,Chemical Database,Patent Search.
Copyright © 2006-2026 Drug Future. All rights reserved.Contact Us