【药物名称】CGH-1484A
化学结构式(Chemical Structure):
参考文献No.44396
标题:Tetrahydroquinoline inhibitors of trypsin and thrombin
作者:Smith, G.P.; Brundish, D.E.; Menear, K.A.; Walker, C.V.; Herold, P.; Fullerton, J.D.; Allen, M.C.; Le Grand, D.M.; Kane, P.D.; Cockcroft, X.-L.; Wathey, W.B.; Butler, P.I.; Hatto, J.D.I.; Hayler, J.D. (Novartis AG)
来源:GB 2312674
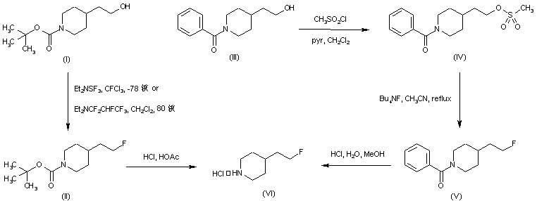
合成路线图解说明:

Alcohol (I) was converted to fluoride (II) by treatment with either diethylaminosulfur trifluoride or the Ishikawa reagent. Subsequent acid cleavage of the Boc protecting group of (III) provided piperidine (VI). Alternatively, alcohol (III) was converted to mesylate (IV), which was displaced with tetrabutylammonium fluoride to afford fluoride (V). The benzamido group of (V) was then hydrolyzed with HCl in aqueous MeOH.

合成路线图解说明:

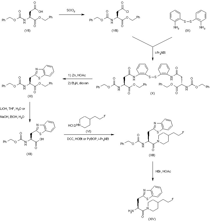
Amine intermediate (XIV) has been obtained as follows: N-(Carbobenzoxy)-L-aspartic acid alpha-benzyl ester (VII) was converted to acid chloride (VIII) and then coupled to 2-aminophenyl disulfide (IX) to afford the bis-amide (X). Reductive cleavage of the disulfide group of (X), followed by basic cyclization, produced the benzothiazole (XI) (2). Hydrolysis of the benzyl ester group of (XI) and subsequent coupling of the resulting carboxylic acid (XII) with piperidine (VI) gave amide (XIII). The carbobenzoxy group of (XII) was then cleaved with HBr in HOAc, yielding intermediate amine (XIV).

合成路线图解说明:

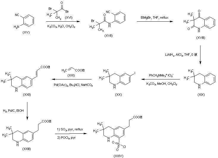
2-Aminobenzonitrile (XV) was acylated with 2-bromoisobutyryl bromide (XVI) to afford the cyano amide (XVII). Halogen-metal exchange with ethylmagnesium bromide followed by intramolecular addition to the cyano group of (XVII) gave rise to the quinoline dione (XVIII). This was reduced to the tetrahydroquinoline (XIX) by means of LiAlH4 and AlCl3. Iodination of (XIX) with benzyltrimethylammonium iodine dichloride furnished (XX), which was coupled with ethyl acrylate (XXI) in the presence of palladium acetate, yielding the unsaturated ester (XXII). After catalytic hydrogenation of the olefin (XXII) to propionyl ester (XXIII), sulfonation and treatment with POCl3, intermediate sulfonyl chloride (XXIV) was obtained.

合成路线图解说明:

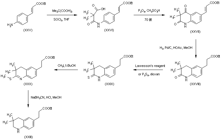
An alternative procedure for the preparation of tetrahydroquinoline (XXIII) consisted in the acylation of ethyl 4-aminocinnamate (XXV) with the in situ prepared dimethylmalonyl chloride (to give (XXVI)), followed by cyclization to the quinoline dione (XXVII) by means of phosphorus pentoxide and methanesulfonic acid. The hydrogenation of the double bond of (XXVII) and simultaneous reduction of the keto group produced quinolinone (XXVIII). Further reduction of the lactam carbonyl group of (XXVIII) to provide (XXIII) was carried out via conversion to thiolactam (XXIX), which was alkylated with iodomethane to the S-methyl thioimidate (XXX) and then reduced with NaBH3CN.

合成路线图解说明:

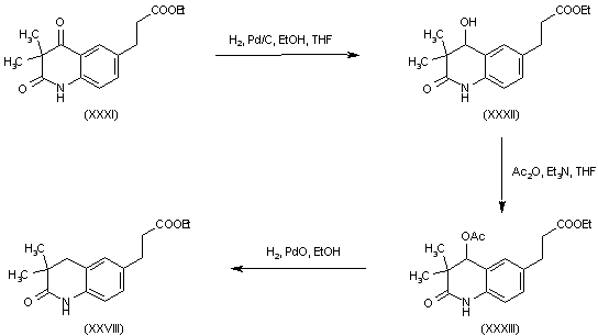
Quinolinone (XXVIII) was also obtained by reduction of quinoline dione (XXXI) to alcohol (XXXII), followed by esterification to acetate (XXXIII) and hydrogenolysis of the acetoxy group in the presence of palladium oxide.

合成路线图解说明:

Coupling between sulfonyl chloride (XXIV) and amine (XIV) provided sulfonamide (XXXIV). The ethyl ester group of (XXXIV) was then hydrolyzed to carboxylic acid (XXXV), which was finally coupled with N-(2-morpholin-4-yl-2-oxoethyl)piperazine (XXXVI) to furnish the title amide.

参考文献No.588391
标题:The design and synthesis of thrombin inhibitors: Analogues of MD805 containing non-polar surrogates for arginine at the P1 position
作者:Baettig, U.; Brown, L.; Brundish, D.; Dell, C.; Furzer, A.; Garman, S.M.; Janus, D.; Kane, P.D.; Smith, G.; Walker, C.V.; Cockcroft, X.; Ambler, J.; Mitchelson, A.; Talbot, M.D.; Tweed, M.; Wills, N.
来源:Bioorg Med Chem Lett 2000,10(14),1563
合成路线图解说明:

Amine intermediate (XIV) has been obtained as follows: N-(Carbobenzoxy)-L-aspartic acid alpha-benzyl ester (VII) was converted to acid chloride (VIII) and then coupled to 2-aminophenyl disulfide (IX) to afford the bis-amide (X). Reductive cleavage of the disulfide group of (X), followed by basic cyclization, produced the benzothiazole (XI) (2). Hydrolysis of the benzyl ester group of (XI) and subsequent coupling of the resulting carboxylic acid (XII) with piperidine (VI) gave amide (XIII). The carbobenzoxy group of (XII) was then cleaved with HBr in HOAc, yielding intermediate amine (XIV).

参考文献No.588392
标题:The design and synthesis of thrombin inhibitors: The introduction of in vivo efficacy and oral bioavailability into benzthiazolylalanine inhibitors
作者:Hayler, J.; Kane, P.D.; LeGrand, D.; Lugrin, F.; Menear, K.; Price, R.A.; Allen, M.C.; Cockcroft, X.; Ambler, J.; Butler, K.; Dunnet, K.; Mitchelson, A.; Talbot, M.; Tweed, M.; Wills, N.
来源:Bioorg Med Chem Lett 2000,10(14),1567
合成路线图解说明:

An alternative procedure for the preparation of tetrahydroquinoline (XXIII) consisted in the acylation of ethyl 4-aminocinnamate (XXV) with the in situ prepared dimethylmalonyl chloride (to give (XXVI)), followed by cyclization to the quinoline dione (XXVII) by means of phosphorus pentoxide and methanesulfonic acid. The hydrogenation of the double bond of (XXVII) and simultaneous reduction of the keto group produced quinolinone (XXVIII). Further reduction of the lactam carbonyl group of (XXVIII) to provide (XXIII) was carried out via conversion to thiolactam (XXIX), which was alkylated with iodomethane to the S-methyl thioimidate (XXX) and then reduced with NaBH3CN.

合成路线图解说明:

Coupling between sulfonyl chloride (XXIV) and amine (XIV) provided sulfonamide (XXXIV). The ethyl ester group of (XXXIV) was then hydrolyzed to carboxylic acid (XXXV), which was finally coupled with N-(2-morpholin-4-yl-2-oxoethyl)piperazine (XXXVI) to furnish the title amide.

Drug Information Express,Drug R&D,Chemical Database,Patent Search.
Copyright © 2006-2026 Drug Future. All rights reserved.Contact Us