【药物名称】SNAD
化学结构式(Chemical Structure):
参考文献No.32816
标题:Cpds. and compsns. for delivering active agents
作者:Leone-Bay, A.; Ho, K.-K.; Sarubbi, D.J.; Milstein, S.J.; Press, J.B. (Emisphere Technologies, Inc.)
来源:US 5650386; WO 9630036
合成路线图解说明:

Conversion of 10-undecen-1-ol (I) into the primary amine (IV) was effected by Mitsunobu coupling of (I) with phthalimide (II), followed by hydrazinolysis of the resulting N-(10-undecenyl)phthalimide (III). Amine (IV) was then acylated with O-acetylsalicyloyl chloride (V) to give salicylamide (VI). Oxidative cleavage of the terminal olefin to the carboxylic acid (VII) was achieved using potassium permanganate under phase-transfer conditions. The O-acetyl group was finally removed by treatment with NaOH.

参考文献No.44384
标题:Cpds. and compsns. for delivering active agents
作者:Leone-Bay, A. (Emisphere Technologies, Inc.)
来源:WO 9736480
合成路线图解说明:

Conversion of 10-undecen-1-ol (I) into the primary amine (IV) was effected by Mitsunobu coupling of (I) with phthalimide (II), followed by hydrazinolysis of the resulting N-(10-undecenyl)phthalimide (III). Amine (IV) was then acylated with O-acetylsalicyloyl chloride (V) to give salicylamide (VI). Oxidative cleavage of the terminal olefin to the carboxylic acid (VII) was achieved using potassium permanganate under phase-transfer conditions. The O-acetyl group was finally removed by treatment with NaOH.

参考文献No.456729
标题:Synthesis and evaluation of compounds that facilitate the gastrointestinal absorption of heparin
作者:Paton, D.R.; Leone-Bay, A.; Freeman, J.; Lercara, C.; O'Toole, D.; Gschneidner, D.; Wang, E.; Harris, E.; Rosado, C.; Rivera, T.; DeVincent, A.; Tai, M.; Mercogliano, F.; Agarwal, R.; Leipold, H.; Baughman, R.A.
来源:J Med Chem 1998,41(7),1163
合成路线图解说明:

Full protection of 8-aminooctanoic acid (I) with TMSCl in refluxing CH2Cl2 yields derivative (II), which is then coupled to acetylsalicyloyl chloride (III) by means of Et3N to provide compound (IV). Finally, the desired product is obtained by saponification of (IV) with NaOH. Alternatively, another route can be followed for the synthesis of the target compound: Curtius rearrangement of nonanedioic acid monomethyl ester (V) with DPPA and Et3N in toluene, followed by treatment with tert-BuOH, affords Boc-amino ester (VI), whose Boc group is then removed by means of HCl in dioxane to yield deprotected ester (VII). Coupling of (VII) with acetylsalicyloyl chloride (III) by means of Et3N in THF/DMF gives compound (VIII), which is finally saponified with NaOH.

合成路线图解说明:

Conversion of 10-undecen-1-ol (I) into the primary amine (IV) was effected by Mitsunobu coupling of (I) with phthalimide (II), followed by hydrazinolysis of the resulting N-(10-undecenyl)phthalimide (III). Amine (IV) was then acylated with O-acetylsalicyloyl chloride (V) to give salicylamide (VI). Oxidative cleavage of the terminal olefin to the carboxylic acid (VII) was achieved using potassium permanganate under phase-transfer conditions. The O-acetyl group was finally removed by treatment with NaOH.

参考文献No.593570
标题:Studies directed at the use of a parallel synthesis matrix to increase throughput in an in vivo assay
作者:Leone-Bay, A.; Freeman, J.; O'Toole, D.; Rosado-Gray, C.; Salo-Kostmayer, S.; Tai, M.; Mercogliano, F.; Baughman, R.A.
来源:J Med Chem 2000,43(19),3573
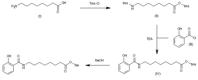
合成路线图解说明:

The silylation of 8-aminooctanoic acid (I) with Tms-Cl in dichloromethane gives the disilylated compound (II), which is treated with 2-hydroxybenzoyl chloride (III) and TEA to yield the corresponding silylated amide (IV). Finally, this compound is desilylated with NaOH to afford the target sodium salt.

合成路线图解说明:

Full protection of 8-aminooctanoic acid (I) with TMSCl in refluxing CH2Cl2 yields derivative (II), which is then coupled to acetylsalicyloyl chloride (III) by means of Et3N to provide compound (IV). Finally, the desired product is obtained by saponification of (IV) with NaOH. Alternatively, another route can be followed for the synthesis of the target compound: Curtius rearrangement of nonanedioic acid monomethyl ester (V) with DPPA and Et3N in toluene, followed by treatment with tert-BuOH, affords Boc-amino ester (VI), whose Boc group is then removed by means of HCl in dioxane to yield deprotected ester (VII). Coupling of (VII) with acetylsalicyloyl chloride (III) by means of Et3N in THF/DMF gives compound (VIII), which is finally saponified with NaOH.

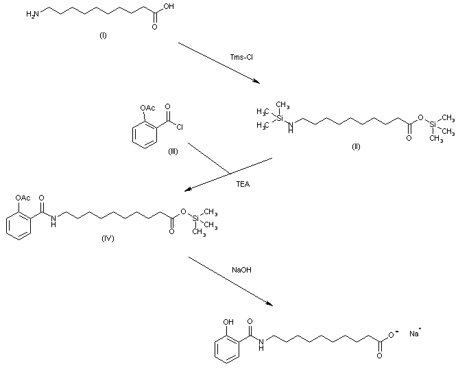
合成路线图解说明:

The silylation of 10-aminodecanoic acid with Tms-Cl in refluxing dichloromethane gives the bis-silylated compound (II), which is treated with acetylsalicyl chloride (III) and TEA to yield the salicylamide (IV). Finally, this compound is hydrolyzed with NaOH.

Drug Information Express,Drug R&D,Chemical Database,Patent Search.
Copyright © 2006-2026 Drug Future. All rights reserved.Contact Us