【药物名称】
化学结构式(Chemical Structure):
参考文献No.588204
标题:Studies on the novel anti-staphyloccal compound nematophin
作者:Kennedy, G.; Viziano, M.; Winders, J.A.; Cavallini, P.; Gevi, M.; Michelli, F.; Rodegher, P.; Seneci, P.; Zumerle, A.
来源:Bioorg Med Chem Lett 2000,10(15),1751
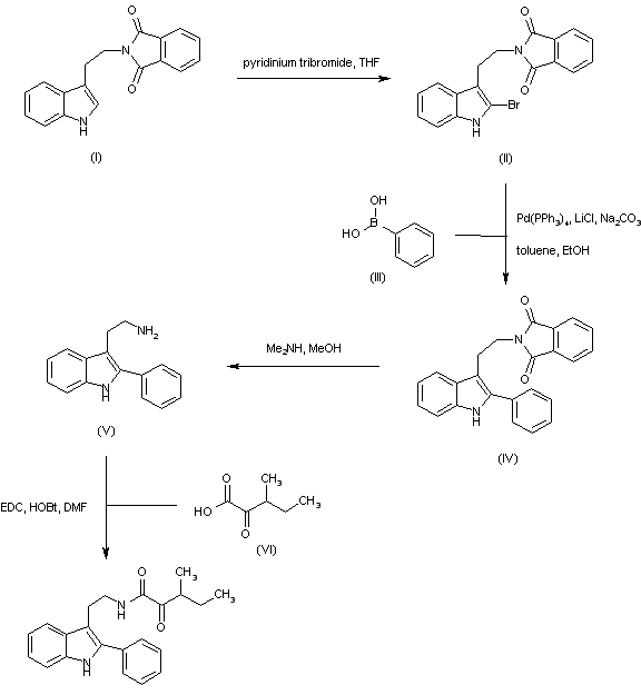
合成路线图解说明:

Bromination of N-phthaloyl tryptamine (I) with pyridinium tribromide provided the 2-bromo indole (II). Suzuki coupling of bromide (II) with phenylboronic acid (III) gave the 2-phenyl indole (IV). The phthaloyl group of (IV) was then removed by treatment with dimethylamine to furnish 2-phenyltryptamine (V). Then condensation of amine (V) with 3-methyl-2-oxovaleric acid (VI) using EDC and HOBt yielded the corresponding amide.

Drug Information Express,Drug R&D,Chemical Database,Patent Search.
Copyright © 2006-2026 Drug Future. All rights reserved.Contact Us