【药物名称】
化学结构式(Chemical Structure):
参考文献No.49158
标题:Cpds. having 5-HT6 receptor antagonist activity
作者:Isaac, M.; Slassi, A.; Xin, T. (NPS Allelix Corp.)
来源:WO 0132660
合成路线图解说明:

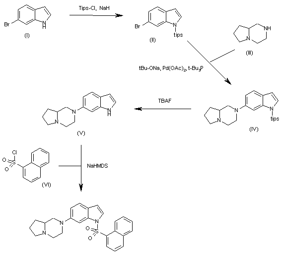
The reaction of 6-bromo-1H-indole (I) with Tips-Cl and NaH in DMF gives the N-silylated indole (II), which is condensed with 1,4-diazabicyclo[4,3,0]nonane (III) by means of tBu-ONa, Pd(OAc)2 and tBu3P in hot xylene to yield the corresponding adduct (IV). The desilylation of (IV) by means of TBAF in THF affords the deprotected indole (V), which is finally sulfonated with 1-naphthylsulfonyl chloride and NaHMDS in THF.

参考文献No.588200
标题:6-Bicyclopiperazinyl-1-araylsulfonylindoles and 6-bicyclopiperidinyl-1-arylsulfonylindoles derivatives as novel, potent, and selective 5-HT6 receptor antagonists
作者:Isaac, M.; Slassi, A.; Xin, T.; MacLean, N.; Wilson, J.D.; McCallum, K.L.; Wang, H.; Demchyshyn, L.
来源:Bioorg Med Chem Lett 2000,10(15),1719
合成路线图解说明:

The reaction of 6-bromo-1H-indole (I) with Tips-Cl and NaH in DMF gives the N-silylated indole (II), which is condensed with 1,4-diazabicyclo[4,3,0]nonane (III) by means of tBu-ONa, Pd(OAc)2 and tBu3P in hot xylene to yield the corresponding adduct (IV). The desilylation of (IV) by means of TBAF in THF affords the deprotected indole (V), which is finally sulfonated with 1-naphthylsulfonyl chloride and NaHMDS in THF.

Drug Information Express,Drug R&D,Chemical Database,Patent Search.
Copyright © 2006-2026 Drug Future. All rights reserved.Contact Us