【药物名称】
化学结构式(Chemical Structure):
参考文献No.588198
标题:Antitumor promoting activities of 3-O-acyl-(-)-epigallocatechins
作者:Uesato, S.; Kitagawa, Y.; Hara, Y.; Tokuda, H.; Okuda, M.; Mou, X.Y.; Mukainaka, T.; Nishino, H.
来源:Bioorg Med Chem Lett 2000,10(15),1673
合成路线图解说明:

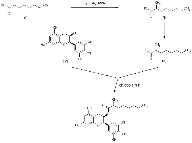
The dilithium anion of octanoic acid (I) was alkylated with iodomethane in the presence of HMPA to afford 2-methyloctanoic acid (II). After conversion of (II) to the corresponding acid chloride (III), condensation with (-)-epigallocatechin (IV) using trifluoroacetic acid as the catalyst furnished the title 3-O-acyl epigallocatechin.

Drug Information Express,Drug R&D,Chemical Database,Patent Search.
Copyright © 2006-2026 Drug Future. All rights reserved.Contact Us