【药物名称】PNU-193821
化学结构式(Chemical Structure):
参考文献No.42142
标题:Sulfurated distamycin derivs., process for preparing them, and their use as antitumor agents
作者:Beria, I.; Caldarelli, M.; Capolongo, L.; Geroni, M.C.; Cozzi, P. (Pharmacia & Upjohn SpA)
来源:WO 0006541
合成路线图解说明:

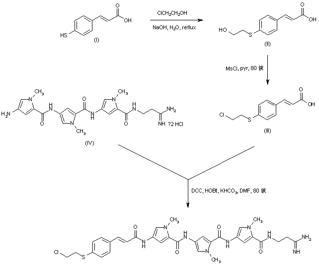
Reaction of 4-mercaptocinnamic acid (I) with 2-chloroethanol in the presence of NaOH afforded the hydroxyethyl sulfide (II), which was converted into the chloroethyl derivative (III) upon treatment with mesyl chloride and 37% HCl in hot pyridine. Coupling of carboxylic acid (III) with desformyldistamycin (IV) by means of DCC and HOBt gave rise to the title amide.

参考文献No.588196
标题:Phenyl sulfur mustard derivatives of distamycin A
作者:Cozzi, P.; Beria, I.; Caldarelli, M.; Capolongo, L.; Geroni, C.; Mazzini, S.; Ragg, E.
来源:Bioorg Med Chem Lett 2000,10(15),1653
合成路线图解说明:

Reaction of 4-mercaptocinnamic acid (I) with 2-chloroethanol in the presence of NaOH afforded the hydroxyethyl sulfide (II), which was converted into the chloroethyl derivative (III) upon treatment with mesyl chloride and 37% HCl in hot pyridine. Coupling of carboxylic acid (III) with desformyldistamycin (IV) by means of DCC and HOBt gave rise to the title amide.

Drug Information Express,Drug R&D,Chemical Database,Patent Search.
Copyright © 2006-2026 Drug Future. All rights reserved.Contact Us