【药物名称】
化学结构式(Chemical Structure):
参考文献No.588193
标题:N-acylated alpha-(3-pyridylmethyl)-beta-aminotetralin antagonists of the human neuropeptide Y Y5 receptor
作者:McNally, J.J.; Youngman, M.A.; Lovenberg, T.W.; Nepomuceno, D.; Wilson, S.; Dax, S.L.
来源:Bioorg Med Chem Lett 2000,10(15),1641
合成路线图解说明:

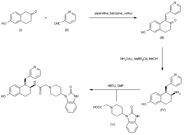
Aldol condensation of 3-pyridinecarboxaldehyde (II) with tetralone (I) in the presence of piperidine provided unsaturated ketone (III). This was subjected to reductive amination with ammonium formate and sodium cyanoborohydride to give the cis-aminotetralin (IV). Finally, amine (IV) was coupled with [4-(2-oxo-1-benzimidazolinyl)piperidin-1-yl]acetic acid (V) using HBTU.

Drug Information Express,Drug R&D,Chemical Database,Patent Search.
Copyright © 2006-2026 Drug Future. All rights reserved.Contact Us