【药物名称】SCH-226374
化学结构式(Chemical Structure):
参考文献No.44012
标题:Tricyclic farnesyl protein transferase inhibitors
作者:Guzi, T.; Taveras, A.G.; Ferreira, J.A.; Desai, J.A.; Wang, J.J.S.; Lalwani, T.; Alvarez, C.; Afonso, A.; Girijavallabhan, V.M.; Mallams, A.K.; Doll, R.J.; Weinstein, J.; Cooper, A.B.; Chao, J.; Rane, D.F.; Aki, C.J.; Kelly, J.M. (Schering Corp.)
来源:EP 1140902; WO 0037459
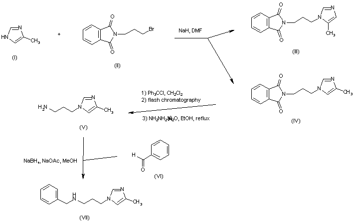
合成路线图解说明:

The alkylation of 4-methylimidazole (I) with N-(3-bromopropyl)phthalimide (II) produced a mixture of N-alkylated regioisomers (III) and (IV). After selective derivatization of the undesired 5-methyl isomer (III) with trityl chloride, the 4-methyl derivative was isolated by flash chromatography and subsequently subjected to phthaloyl group hydrazinolysis to yield amine (V). Reductive condensation of amine (V) with benzaldehyde (VI) in the presence of NaBH4 afforded the N-benzyl amine (VII).

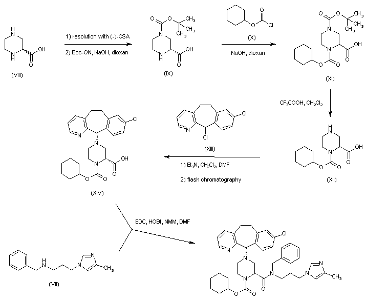
合成路线图解说明:

(R)-Piperazine-2-carboxylic acid, obtained by resolution of the racemic piperazine (VIII) with (-)-camphorsulfonic acid, was regioselectively protected with Boc-ON at the 4-N atom, yielding the tert-butyl carbamate (IX). Subsequent treatment with cyclohexyl chloroformate (X) produced the bis-carbamate (XI), which was further subjected to selective Boc group cleavage under acidic conditions. The resultant piperazine (XII) was condensed with the tricyclic alkyl chloride (XIII), producing a diastereomeric mixture of N-alkylated adducts from which the required isomer (XIV) was isolated by flash chromatography. Finally, coupling of acid (XIV) with the intermediate amine (VII) by means of EDC and HOBt gave rise to the title compound.

Drug Information Express,Drug R&D,Chemical Database,Patent Search.
Copyright © 2006-2026 Drug Future. All rights reserved.Contact Us