【药物名称】Lamectacin, NB-2001
化学结构式(Chemical Structure):
参考文献No.52140
标题:Improved beta-lactam antibiotics
作者:Lobl, T.J.; Chan, M.F.; Li, Q.; Doppalapudi, V.R.; Hixon, M.S.; Castillo, R. (NewBiotics, Inc.)
来源:WO 0183492
合成路线图解说明:

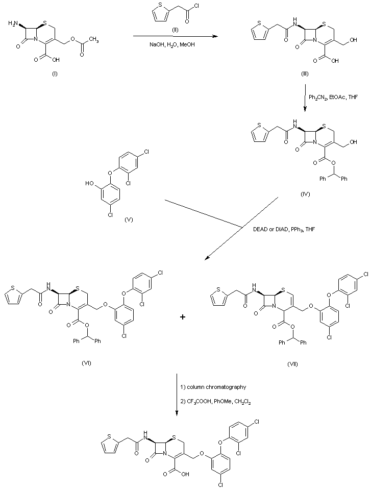
Acylation of 7-aminocephalosporanic acid (I) with 2-thienyleacetyl chloride (II) in the presence of NaOH led to amide (III). The carboxylate group of (III) was then protected as the corresponding benzhydryl ester (IV) upon treatment with diphenyldiazomethane. Mitsunobu coupling of the hydroxymethyl cephem (IV) with triclosan (V), with partial double-bond isomerization, gave rise to a mixture of the desired delta-3 ether (VI) and its delta-2 isomer (VII), which were separated by repeated column chromatography. Isomerization was minimized by conducting the reaction at -20 C. Finally, removal of the benzhydryl ester group of (VI) was accomplished by treatment with trifluoroacetic acid in the presence of anisole.

参考文献No.664979
标题:NB2001, a novel antibacterial agent with broad-specrum activity and enhanced potency against beta-lactamase-producing strains
作者:Li, Q.; Lee, J.Y.; Castillo, R.; Hixon, M.S.; Pujol, C.; Doppalapudi, V.R.; Shepard, H.M.; Wahl, G.M.; Lobl, T.J.; Chan, M.F.
来源:Antimicrob Agents Chemother 2002,46(5),1262
合成路线图解说明:

Acylation of 7-aminocephalosporanic acid (I) with 2-thienyleacetyl chloride (II) in the presence of NaOH led to amide (III). The carboxylate group of (III) was then protected as the corresponding benzhydryl ester (IV) upon treatment with diphenyldiazomethane. Mitsunobu coupling of the hydroxymethyl cephem (IV) with triclosan (V), with partial double-bond isomerization, gave rise to a mixture of the desired delta-3 ether (VI) and its delta-2 isomer (VII), which were separated by repeated column chromatography. Isomerization was minimized by conducting the reaction at -20 C. Finally, removal of the benzhydryl ester group of (VI) was accomplished by treatment with trifluoroacetic acid in the presence of anisole.

Drug Information Express,Drug R&D,Chemical Database,Patent Search.
Copyright © 2006-2026 Drug Future. All rights reserved.Contact Us