【药物名称】RP-60556A
化学结构式(Chemical Structure):
参考文献No.44017
标题:1,8-Benzonaphthyridine derivs.
作者:Wentzler, S.; Desconclois, J.-F.; Girard, P.; Picaut, G.; Tabart, M. (Aventis Pharma SA)
来源:FR 2787452; WO 0037467
合成路线图解说明:

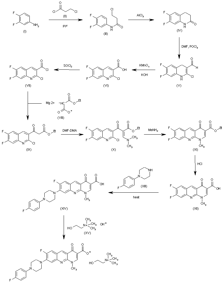
The condensation of 3,4-difluoroaniline (I) with 3-chloropropionyl chloride (II) and pyridine in hot acetone give the anilide (III), which is cyclized by means of AlCl3 at 110?C, yielding 6,7-difluoro-1,2,3,4-tetrahydroquinolin-2-one (IV). The reaction of (IV) with POCl3 and dimethylformamide affords the carbaldehyde (V), which is oxidized and aromatized by means of KMnO4 and KOH in water, providing 2-chloro-6,7-difluoroquinoline-3-carboxylic acid (VI). The reaction of (VI) with SOCl2 in chloroform gives the corresponding acyl chloride (VII), which is condensed with the magnesium salt of the malonic acid monoethyl ester (VIII) in THF to yield the 3-oxopropanoate (IX). The reaction of (IX) with dimethylformamide dimethylacetal (DMF) in hot ethyl acetate affords the 3-(dimethylamino)acrylate (X), which is cyclized by means of methylamine in ethanol to provide 7,8-difluoro-1-methyl-4-oxo-1,4-dihydrobenzo[g][1,8]naphthyridine-3-carboxylic acid ethyl ester (XI). The hydrolysis of (XI) with HCl in hot HOAc gives the corresponding carboxylic acid (XII) (1), which is condensed with 1-(4-fluorophenyl)piperazine (XIII) by heating at 90?C to yield the adduct (XIV). Finally, this compound is treated with choline hydroxide (XV) in methanol to afford the target choline salt.

参考文献No.591662
标题:Synthesis and biological evaluation of RP60556A, a new topical antibacterial agent
作者:Tabart, M.; et al.
来源:40th Intersci Conf Antimicrob Agents Chemother (Sept 17 2000, Toronto) 2000,Abst F-1512
合成路线图解说明:

The condensation of 3,4-difluoroaniline (I) with 3-chloropropionyl chloride (II) and pyridine in hot acetone give the anilide (III), which is cyclized by means of AlCl3 at 110?C, yielding 6,7-difluoro-1,2,3,4-tetrahydroquinolin-2-one (IV). The reaction of (IV) with POCl3 and dimethylformamide affords the carbaldehyde (V), which is oxidized and aromatized by means of KMnO4 and KOH in water, providing 2-chloro-6,7-difluoroquinoline-3-carboxylic acid (VI). The reaction of (VI) with SOCl2 in chloroform gives the corresponding acyl chloride (VII), which is condensed with the magnesium salt of the malonic acid monoethyl ester (VIII) in THF to yield the 3-oxopropanoate (IX). The reaction of (IX) with dimethylformamide dimethylacetal (DMF) in hot ethyl acetate affords the 3-(dimethylamino)acrylate (X), which is cyclized by means of methylamine in ethanol to provide 7,8-difluoro-1-methyl-4-oxo-1,4-dihydrobenzo[g][1,8]naphthyridine-3-carboxylic acid ethyl ester (XI). The hydrolysis of (XI) with HCl in hot HOAc gives the corresponding carboxylic acid (XII) (1), which is condensed with 1-(4-fluorophenyl)piperazine (XIII) by heating at 90?C to yield the adduct (XIV). Finally, this compound is treated with choline hydroxide (XV) in methanol to afford the target choline salt.

参考文献No.615992
标题:Synthesis and biological evaluation of benzo[b]naphthyridones, a series of new topical antibacterial agents
作者:Tabart, M.; Picaut, G.; Desconclois, J.F.; Dutka-Malen, S.; Huet, Y.; Berthaud, N.
来源:Bioorg Med Chem Lett 2001,11(7),919
合成路线图解说明:

The condensation of 3,4-difluoroaniline (I) with 3-chloropropionyl chloride (II) and pyridine in hot acetone give the anilide (III), which is cyclized by means of AlCl3 at 110?C, yielding 6,7-difluoro-1,2,3,4-tetrahydroquinolin-2-one (IV). The reaction of (IV) with POCl3 and dimethylformamide affords the carbaldehyde (V), which is oxidized and aromatized by means of KMnO4 and KOH in water, providing 2-chloro-6,7-difluoroquinoline-3-carboxylic acid (VI). The reaction of (VI) with SOCl2 in chloroform gives the corresponding acyl chloride (VII), which is condensed with the magnesium salt of the malonic acid monoethyl ester (VIII) in THF to yield the 3-oxopropanoate (IX). The reaction of (IX) with dimethylformamide dimethylacetal (DMF) in hot ethyl acetate affords the 3-(dimethylamino)acrylate (X), which is cyclized by means of methylamine in ethanol to provide 7,8-difluoro-1-methyl-4-oxo-1,4-dihydrobenzo[g][1,8]naphthyridine-3-carboxylic acid ethyl ester (XI). The hydrolysis of (XI) with HCl in hot HOAc gives the corresponding carboxylic acid (XII) (1), which is condensed with 1-(4-fluorophenyl)piperazine (XIII) by heating at 90?C to yield the adduct (XIV). Finally, this compound is treated with choline hydroxide (XV) in methanol to afford the target choline salt.

Drug Information Express,Drug R&D,Chemical Database,Patent Search.
Copyright © 2006-2026 Drug Future. All rights reserved.Contact Us