【药物名称】
化学结构式(Chemical Structure):
参考文献No.28644
标题:Heterocyclic cpds. having antidiabetic activity, their preparation and their use
作者:Fujita, T.; Fujimoto, K.; Yoshioka, T.; Yanagisawa, H.; Fujiwara, T.; Horikoshi, H.; Oguchi, M.; Wada, K. (Sankyo Co., Ltd.)
来源:CA 2146701; EP 0676398; JP 1995330728; US 5624935; US 5834501; US 5962470; US 6117893
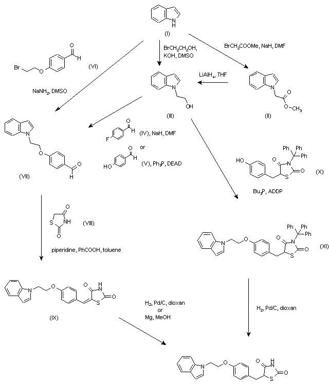
合成路线图解说明:

The target compound was obtained by several related ways. Indolylethanol (III) was either prepared by alkylation of indole (I) with methyl bromoacetate, followed by reduction of the resulting indolylacetate (II) with LiAlH4 or by alkylation of (I) with 2-bromoethanol. Alkylation of (III) with 4-fluorobenzaldehyde (IV) in the presence of NaH or condensation with 4-hydroxybenzaldehyde (V) under Mitsunobu conditions provided ether (VII). Alternatively, (VII) was prepared by alkylation of indole (I) with 4-(bromoethoxy)benzaldehyde (VI). Then, Knoevenagel condensation of aldehyde (VII) with 2,4-thiazolidinedione (VIII) in the presence of piperidinium benzoate in refluxing toluene with azeotropic removal of water yielded benzylidene compound (IX). Reduction of the olefinic double bond by either hydrogenation in the presence of an excess of Pd/C or by chemical reduction with Mg in MeOH provided the target benzyl compound. Alternatively, indolylethanol (III) was condensed with hydroxybenzyl compound (X) in the presence of tributyl phosphine and 1,1'-(azodicarbonyl)dipiperidine (ADDP) in benzene to give (XI), which was finally deprotected by hydrogenation in the presence of an excess of Pd/C in dioxan.

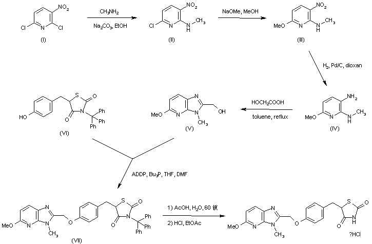
合成路线图解说明:

Selective substitution of the 2-chloro group of 2,6-dichloro-3-nitropyridine (I) by methylamine gave 6-chloro-2-(methylamino)-3-nitropyridine (II). The 6-chloro group of (II) was then displaced by sodium methoxide to afford methyl ether (III). The nitro group of (III) was reduced by catalytic hydrogenation, and the resulting diamine (IV) was cyclized with glycolic acid to furnish the imidazopyridine (V). Mitsunobu coupling of alcohol (V) with 5-(4-hydroxybenzyl)-3-triphenylmethylthiazolidine-2,4-dione (VI) produced the corresponding ether (VII). The title compound was then obtained by acid deprotection of the trityl group of (VII), followed by conversion to the hydrochloride salt.

参考文献No.587638
标题:Molecular design, synthesis, and hypoglycemic activity of a series of thiazolidine-2,4-diones
作者:Oguchi, M.; Wada, K.; Honma, H.; Tanaka, A.; Kaneko, T.; Sakakibara, S.; Ohsumi, J.; Serizawa, N.; Fujiwara, T.; Horikoshi, H.; Fujita, T.
来源:J Med Chem 2000,43(16),3052
合成路线图解说明:

Selective substitution of the 2-chloro group of 2,6-dichloro-3-nitropyridine (I) by methylamine gave 6-chloro-2-(methylamino)-3-nitropyridine (II). The 6-chloro group of (II) was then displaced by sodium methoxide to afford methyl ether (III). The nitro group of (III) was reduced by catalytic hydrogenation, and the resulting diamine (IV) was cyclized with glycolic acid to furnish the imidazopyridine (V). Mitsunobu coupling of alcohol (V) with 5-(4-hydroxybenzyl)-3-triphenylmethylthiazolidine-2,4-dione (VI) produced the corresponding ether (VII). The title compound was then obtained by acid deprotection of the trityl group of (VII), followed by conversion to the hydrochloride salt.

Drug Information Express,Drug R&D,Chemical Database,Patent Search.
Copyright © 2006-2026 Drug Future. All rights reserved.Contact Us