【药物名称】
化学结构式(Chemical Structure):
参考文献No.588118
标题:New antifungal 1,2,4-triazoles with difluro(heteroaryl)methyl moiety
作者:Eto, H.; Kaneko, Y.; Sakamoto, T.
来源:Chem Pharm Bull 2000,48(7),982
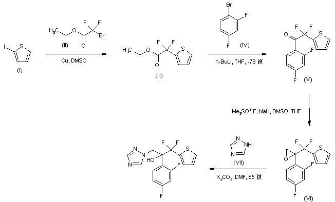
合成路线图解说明:

The copper-promoted coupling between 2-iodothiophene (I) and ethyl bromodifluoroacetate (II) produced ethyl 2,2-difluoro-2-(2-thienyl)acetate (III). Addition of the organolithium reagent derived from 2,4-difluorobromobenzene (IV) to ester (III) yielded ketone (V). This was converted into the oxirane (VI) by reaction with dimethyloxosulfonium methylide in DMSO. Finally, oxirane ring opening with 1,2,4-triazole (VII) provided the title compound.

Drug Information Express,Drug R&D,Chemical Database,Patent Search.
Copyright © 2006-2026 Drug Future. All rights reserved.Contact Us