【药物名称】K-7174
化学结构式(Chemical Structure):
参考文献No.33691
标题:Cell adhesion inhibitor
作者:Nakao, H.; Umetani, M.; Suda, M.; Nagoya, T. (Kowa Co., Ltd.)
来源:EP 0774257; JP 1997143075; US 5723465
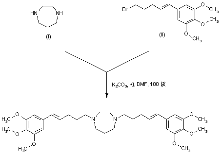
合成路线图解说明:

The title compound was synthesized by alkylation of homopiperazine (I) with (E)-5-(3,4,5-trimethoxyphenyl)-4-pentenyl bromide (II) in the presence of KI and K2CO3 in hot DMF.

Drug Information Express,Drug R&D,Chemical Database,Patent Search.
Copyright © 2006-2026 Drug Future. All rights reserved.Contact Us